Подготовка к ОГЭ
Бабченко Марина Владимировна
21.04.2021.
Тест. Математика, 9 класс
Тест содержит вопросы из банка ОГЭ, задания выполняются на время
Система оценки:
5* балльная
Список вопросов теста
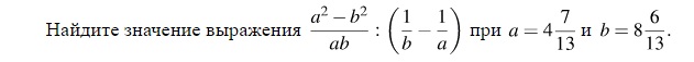
Вопрос 1

Вопрос 2

Вопрос 3

Вопрос 4

Вопрос 5

Вопрос 6

Получите комплекты видеоуроков + онлайн версии
Пройти тест
Сохранить у себя:
Тесты по математике 9 класс
0
199
Нравится
0


