Подготовка к ИА вариант 2
Автор скрыт
17.03.2020.
Тест. Алгебра, 11 класс
примерные задания для подготовки учащихся к итоговой аттестации
Система оценки:
5 балльная
Список вопросов теста
Вопрос 1
Варианты ответов
- - a^(1/15)
- - a^(1/15)
- - a^(1/5)
- a^(1/2)
- - a^(1/2)
- свой вариант ответа
Вопрос 2
Варианты ответов
-
(-2pi/3 + (4pi/3)n; (4pi/3)n)
-
(-2pi/9 + (2pi/3)n; (2pi/3)n)
-
[-2pi/9 + (2pi/3)n; (2pi/3)n)
-
(-2pi/9 + (4pi/9)n; (4pi/9)n)
-
(-2pi/9 + (4pi/3)n; (4pi/3)n)
Вопрос 3
Варианты ответов
- (2;1)
- (1;2)
- (2;4)
- (4;2)
- (1;1)
Вопрос 4
Варианты ответов
- 1/6
- -1/3
- -1/6
- 1/3
- 8/3
- -8/3
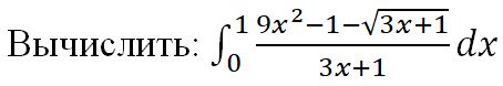
Вопрос 5
Представьте число 20 в виде суммы двух неотрицательных слагаемых так, чтобы произведение куба одного из них на второе было наибольшим.
Варианты ответов
- 15 + 5
- 10+10
- 12+8
- 14+6
- 17+3
Получите комплекты видеоуроков + онлайн версии
Пройти тест
Сохранить у себя:
Тесты по алгебре 11 класс
0
136
Нравится
0


