Первообразная и интеграл
Борюшова Елена Алексеевна
24.07.2017.
Тест. Математика, 11 класс
Данный тест можно применить при обобщении темы первообразная и интеграл
Система оценки:
5 балльная
Список вопросов теста
Вопрос 1

Варианты ответов
- 1
- 2
- 3
- 4
Вопрос 2

Варианты ответов
- 1
- 2
- 3
- 4
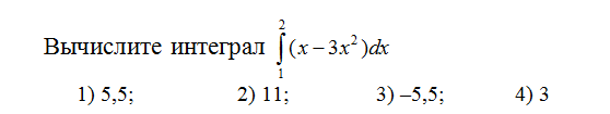
Вопрос 3

Варианты ответов
- 1
- 2
- 3
- 4
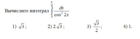
Вопрос 4

Варианты ответов
- 1
- 2
- 3
- 4
Вопрос 5

Варианты ответов
- 1
- 2
- 3
- 4
Вопрос 6

Варианты ответов
- 1
- 2
- 3
- 4
Вопрос 7

Варианты ответов
- 1
- 2
- 3
- 4
Вопрос 8

Варианты ответов
- 1
- 2
- 3
- 4
Вопрос 9

Варианты ответов
- 1
- 2
- 3
- 4
Получите комплекты видеоуроков + онлайн версии
Пройти тест
Сохранить у себя:
Тесты по математике 11 класс
0
1372
Нравится
0


