Решение простейших неравенств
Симанкова Наталья Николаевна
19.12.2025.
Тест. Алгебра, 9 класс
Требуется решить неравенства, используя свойства неравенств
Система оценки:
5 балльная
Список вопросов теста
Вопрос 1
Неравенству 5х > 35 соответствует промежуток
Варианты ответов
- (-∞; 7)
- [7; +∞)
- (7; +∞)
- (-∞; 7]
Вопрос 2
Неравенству -х > -8 соответствует промежуток
Варианты ответов
- (-∞; -8)
- (-8; +∞)
- (-∞; 8)
- (8; +∞)
Вопрос 3
Решите неравенство 3х < 18
Варианты ответов
- ( - ∞; 6]
- [6; +∞)
- (6; +∞)
- ( - ∞; 6)
Вопрос 4
На каком из чертежей изображен числовой промежуток (4; +∞)?

Варианты ответов
- 1
- 2
- 3
- 4
Вопрос 5
На каком из чертежей изображен числовой промежуток, соответствующий неравенству - 3≤ х < 7?

Варианты ответов
- 1
- 2
- 3
- 4
Вопрос 6
При каких значениях х значение выражения - 8х больше 32?

Варианты ответов
- 1
- 2
- 3
- 4
Вопрос 7

Варианты ответов
- 1
- 2
- 3
- 4
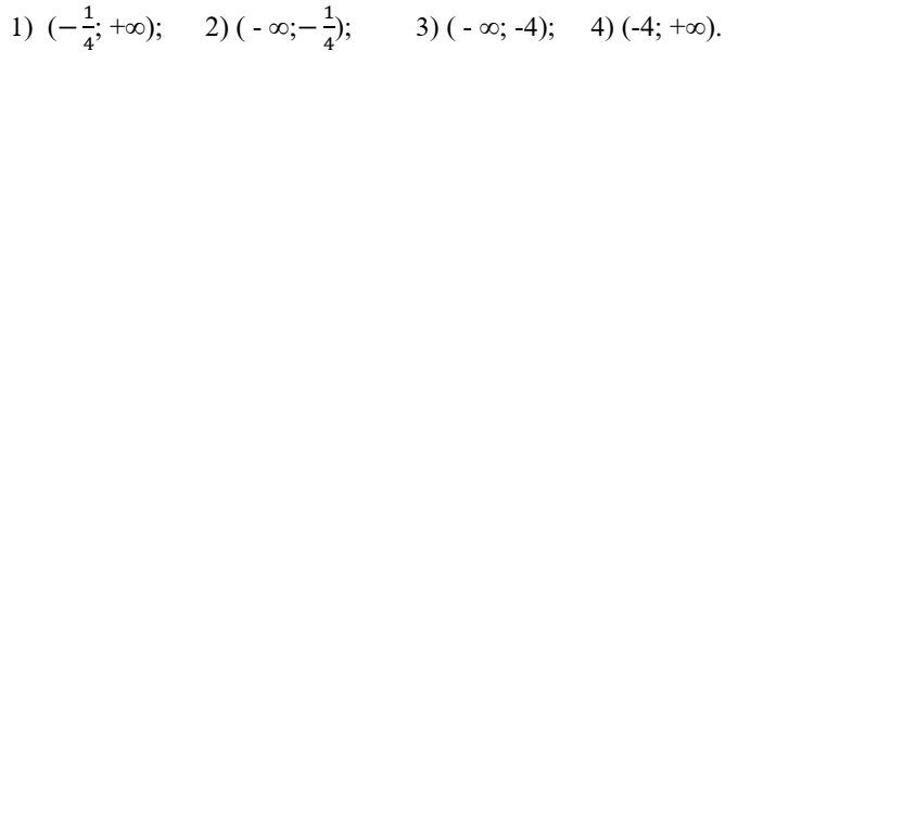
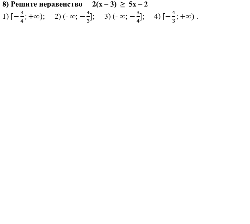
Вопрос 8

Варианты ответов
- 1
- 2
- 3
- 4
Вопрос 9
Укажите наибольшее целое решение неравенства 5(х + 3) – 3(х - 4) < 7
Варианты ответов
- -10
- -9
- 0
- -11
Вопрос 10

Варианты ответов
- 1
- 2
- 3
- 4
Получите комплекты видеоуроков + онлайн версии
Пройти тест
Сохранить у себя:
Тесты по алгебре 9 класс
0
107
Нравится
0


