Основы программирования на языке Python
Список вопросов теста
Вопрос 1
Какие типы переменных существуют:
Варианты ответов
- float
- bool
- real
- int
- num
- str
Вопрос 2
Выберите правильную запись идентификаторов
Варианты ответов
- proba program
- _4proba
- proba42
- Summa_Chisel
- сумма двух чисел
Вопрос 3
Определите значение переменной а после исполнения данного алгоритма:
a=28
b=a %10-4
a=b+10
Варианты ответов
- 15
- 62
- 13
- 14
Вопрос 4
Определите значение переменной а после исполнения данного алгоритма:
a=42
b=a //7
b=a%4+b
Варианты ответов
- 20
- 21
- 8
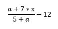
Вопрос 5
Выберите правильную запись математического выражения
Варианты ответов
- a+7*x/5+a-12
- (a+7*x)/5+a-12
- ((a+7*x)/(5+a))-12
- a+7*x/(5+a)-12
- (a+7*x)/(5+a)-12
Вопрос 6
Что получиться в результате выполнения программы:
a = 4
b = a **3*3
с=(b//100)
Варианты ответов
- 92
- 36
- 0
- 1
Вопрос 7
Что будет в результате выполнения следующего действия
с=23 % 2
Варианты ответов
- 1
- 2
- 11
Вопрос 8
Определите значение переменной с после исполнения данного алгоритма:
a=568
b=a //100
c=(а//10)%10+a
Варианты ответов
- 629
- 574
- 578
- 581
Вопрос 9
Оператор присваивания записывается
Варианты ответов
- =
- :=
- ==
Вопрос 10
Создатель языка программирования Python
Варианты ответов
- Никлаус Вирт
- Джордж Буль
- Джеймс Артур Гослинг
- Гвидо Ван Россум
- Блез Паскаль
Вопрос 11
От чего язык программирования называется «Питон»?
Варианты ответов
- В честь змеи
- В честь популярного британского комедийного героя
- В честь игры
Вопрос 12
Язык программирования Python подходит для разработки:
Варианты ответов
- Компьютерных игр и мобильных приложений
- Аналитика и машинное обучение
- Создания чат-ботов
- Ничего из этого
Вопрос 13
После выполнения команды операторов
a=5
m=17+a
print ("у Маши было", m, "яблок")
на экран будет выведена надпись:
Варианты ответов
- У Маши было 22 яблок
- У Маши было 17+a яблок
- У Маши было, m, яблок
Вопрос 14
Определите соответствия для операций сравнений
1.
==
2.
!=
3.
>=
Варианты ответов
- не равно
- равно
- больше и равно
Вопрос 15
Разгадайте ребус
Варианты ответов
- Программа
- Алгоритм
- Алгоритмика
Вопрос 16
Укажите наиболее полный перечень способов записи алгоритмов:
Варианты ответов
- Словесный, графический, псевдокод, программный;
- Графический, программный;
- Словесный, программный;
Вопрос 17
Суть такого свойства алгоритма как конечность заключается в том, что
Варианты ответов
- Алгоритм должен иметь дискретную структуру (должен быть разбит на последовательность отдельных шагов);
- Записывая алгоритм для конкретного исполнителя, можно использовать лишь те команды, что входят в систему его команд;
- Алгоритм должен обеспечивать решение не одной конкретной задачи, а некоторого класса задач данного типа;
- При точном исполнении всех команд алгоритма процесс должен прекратиться за конечное число шагов, приведя к определенному результату;
- Исполнитель алгоритма не должен принимать решения, не предусмотренные составителем алгоритма.
Вопрос 18
Какой из документов является алгоритмом?
Варианты ответов
- Правила техники безопасности;
- Рецепт приготовления голубцов
- Расписание движения поездов
- Список книг в школьной библиотеке.
Вопрос 19
Оператор ввода записывается
Варианты ответов
- input
- =


