Основные понятия теории графов
Список вопросов теста
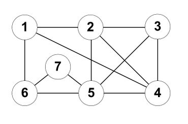
Вопрос 1

Укажите вершины, смежные с вершиной а2
Варианты ответов
-
а1
-
а3
-
а4
-
а5
-
а6
-
а7
Вопрос 2

Какая из вершин графа является изолированной?
Варианты ответов
-
а1
-
а2
-
а3
-
а4
-
а5
-
а6
-
а7
Вопрос 3

Укажите вершины графа, степень которых равна 3.
Варианты ответов
-
а1
-
а2
-
а3
-
а4
-
а5
-
а6
-
а7
Вопрос 4

Укажите висячие вершины.
Варианты ответов
-
а1
-
а2
-
а3
-
а4
-
а5
-
а7
-
а6
Вопрос 5

Укажите пару вершин, кторым соответствуют кратные ребра.
Варианты ответов
-
а1
-
а2
-
а3
-
а4
-
а5
-
а7
-
а6
Вопрос 6

Укажите вершину, в которой есть петля.
Варианты ответов
-
а1
-
а2
-
а3
-
а4
-
а5
-
а6
-
а7
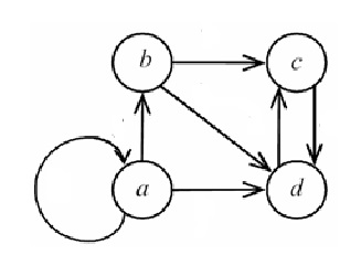
Вопрос 7
Установите соответствие.
1.

2.

Варианты ответов
- неориентированный граф
- Ориентированный граф
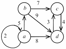
Вопрос 8

Для какой вершины справедливо утверждение "Исходящая степень равна 3, входящая степень равна 1"?
Варианты ответов
- a
- b
- c
- d
Вопрос 9
Установите соответствие.
1.

2.

3.

Варианты ответов
- пустой граф
- полный граф
- неполный граф
Вопрос 10

Сколько ребер содержит данный граф? В ответе запишите число.


