Определители матриц
Носова Оксана Васильевна
20.04.2021.
Тест. Математика, Прочее
Тест по теме "Определители матриц" состоит из 11 вопросов
Система оценки:
5* балльная
Список вопросов теста
Вопрос 1
Матрица – это ...

Варианты ответов
- определитель
- диагональная таблица чисел
- отличный от нуля минор
- неопределяемое понятие
- прямоугольная таблица чисел
Вопрос 2
Определитель – это ....

Варианты ответов
- матрица
- число, характеризующее квадратную матрицу
- вектор
- прямоугольная таблица чисел
- число, характеризующее любую матрицу
Вопрос 3
Вычислите определитель: \(\triangle\ =\left|3\right|\)

Варианты ответов
- -3
- Бесконечность
- 0
- 3
- 1
Вопрос 4
Вычислите определитель: 

Варианты ответов
- 0
- -8
- 7
- Бесконечность
- 4
Вопрос 5
Как называется правило нахождения определителя, схематично изображенное на рисунке?


Варианты ответов
- Правило сложения
- Правило треугольников
- Правило линий
- Правило разложения
Вопрос 6
Вычислите определитель: 

Варианты ответов
- 0
- 1
- 6
- -2
- 3
Вопрос 7
Если какая-нибудь строка (столбец) матрицы состоит из одних нулей, то её определитель равен…

Варианты ответов
- 1
- 0
- бесконечности
- числу, отличному от нуля
Вопрос 8
При перестановке двух строк (столбцов) матрицы её определитель…

Варианты ответов
- меняет знак на противоположный.
- не изменяется.
- становится равным нулю.
Вопрос 9
Определитель матрицы (n-1)-го порядка, полученной из матрицы А вычеркиванием i-й строки и j-го столбца, называется…

Варианты ответов
- Минором
- Алгебраическим дополнением
- Мажором
- Алгебраическим вычитанием
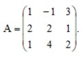
Вопрос 10
Чему равно алгебраическое дополнение элемента а21 матрицы А?


Варианты ответов
- 1
- -3
- 0
- 14
- -14
Вопрос 11
Определителем квадратной матрицы А n-го порядка называется число, равное сумме произведений элементов 1-й строки на их…

Варианты ответов
- алгебраические дополнения
- миноры
- противоположные значения
- мажоры
Получите комплекты видеоуроков + онлайн версии
Пройти тест
Сохранить у себя:
Тесты по математике Прочее
0
3187
Нравится
0


