Определенный интеграл
Иванова Татьяна Евгеньевна
02.04.2017.
Тест. Математика, Прочее
Раздел: Математический анализ
Тема: Определенный интеграл
Инструкция по выполнению задания: Решить пример и вписать нудный ответ
Система оценки:
5 балльная
Список вопросов теста
Вопрос 1
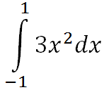
Вычислить определенный интеграл от функции:

Получите комплекты видеоуроков + онлайн версии
Пройти тест
Сохранить у себя:
Тесты по математике Прочее
0
1527
Нравится
0


