Операции. Функции. Выражения
Список вопросов теста
Вопрос 1
Соотнесите выражение с его значением.
Укажите соответствие для всех 10 вариантов ответа:
1.
abs (2.3)
2.
abs (-6.3)
3.
frac (2.6)
4.
int (3.6)
5.
int (8.2)
6.
round (5.4)
7.
round (7.9)
8.
sqr (5)
9.
sqrt (16)
10.
trunc (6.5)
Варианты ответов
- 8
- 4
- 8
- 0,6
- 6
- 25
- 5
- 3
- 2,3
- 6,3
Вопрос 2
Какие операции или операция относятся к бинарным?
Выберите несколько из 7 вариантов ответа:
Варианты ответов
- *
- +
- div
- /
- mod
- - (изменение знака)
- -
Вопрос 3
Какие операции или операция относятся к унарным?
Выберите несколько из 5 вариантов ответа:
Варианты ответов
- - (изменение знака)
- *
- -
- +
- /
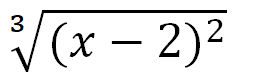
Вопрос 4
Как правильно будет записано предоставленное выражение на языке Pascal:
Выберите один из 4 вариантов ответа:
Варианты ответов
- 1/3*sqr(x-2)
- exp(1/3*ln(sqr(x-2)))
- exp(1/3*sqr(x-2))
- 1/3*ln(sqr(x-2))
Вопрос 5
Выберите верные правила, которые нужно соблюдать при записи арифметических выражений.
Выберите несколько из 6 вариантов ответа:
Варианты ответов
- При записи выражения нельзя допускать два идущих друг за другом арифметических знака
- Если несколько операций одинакового приоритета записаны подряд, то нужно их выполнять слева направо
- Все символы нужно писать в строчку на одном уровне
- Необходимо соблюдать порядок выполнения действий: функций, деление, умножение, возведение в степень, вычитание, сложение, унарная операция изменения знака
- Знак умножения можно опускать
- Часть выражения, которая записана в скобках, вычисляется в первую очередь
Вопрос 6
Что нужно записать в начале программы (после заголовка) для подключения процедур, которые не включены в стандартный модуль System?
Выберите один из 4 вариантов ответа:
Варианты ответов
- Lable <имя модуля>
- Type <имя модуля>
- Const <имя модуля>
- Uses <имя модуля>
Вопрос 7
На какие типы делятся операции?
Выберите несколько из 4 вариантов ответа:
Варианты ответов
- Бинарные
- Логические
- Символьные
- Унарные
Вопрос 8
Соотнесите функцию с её значение.
Укажите соответствие для всех 8 вариантов ответа:
1.
random
2.
random (a)
3.
sqr (a)
4.
sqrt (a)
5.
abs (a)
6.
frac (a)
7.
int (a)
8.
exp (a)
Варианты ответов
- Целая часть а
- Модуль аргумента
- Квадрат а
- Корень квадратный из а
- Пcевдослучайное число в интервале [0, a)
- Дробная часть а.
- Пcевдослучайное число в интервале [0, 1)
- Экспонента
Вопрос 9
Арифметическое выражение – это ...
Выберите один из 4 вариантов ответа:
Варианты ответов
- последовательность числовых констант, переменных, математических функций, соединённых знаками арифметических операций и круглыми скобками
- высказывание на любом языке, содержание которого можно однозначно определить как истинное или ложное
- это совокупность операций и логических выражений
- высказывание, которое обозначается в алгебре логики при помощи букв


