Обыкновенные дроби
Автор скрыт
02.04.2020.
Тест. Математика, 9 класс
Будьте внимательны! У Вас есть 10 минут на прохождение теста. Система оценивания - 5 балльная. Разбалловка теста - 3,4,5 баллов, в зависимости от сложности вопроса. Порядок заданий и вариантов ответов в тесте случайный. С допущенными ошибками и верными ответами можно будет ознакомиться после прохождения теста. Удачи!
Система оценки:
5 балльная
Список вопросов теста
Вопрос 1
Запишите общий знаменатель дробей:
Вопрос 2
Укажите обыкновенные дроби:
Варианты ответов
- 4,5
- 8
- 18
- 1/8
- 8/1
Вопрос 3
После сокращения дроби 76/100 получится дробь:
Варианты ответов
- 18/25
- 19/25
- 20/25
- 21/25
Вопрос 4
Укажите смешанные дроби:
Варианты ответов
- 4,5
-

-

- 1
Вопрос 5
Выделите целую часть смешанной дроби, в которую можно перевести дробь 17/5
Вопрос 6
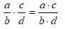
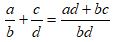
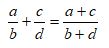
Выберите верные формулы:
Варианты ответов
Вопрос 7
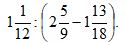
Запишите целую часть смешанной дроби, которая получится:
Вопрос 8
Запишите целую часть смешанной дроби, которая получится
Вопрос 9
Сократите дробь 131313/171717. В ответ запишите разность между числителем и знаменателем получившейся дроби. Например, если получиться дробь 1/2, то в ответ записать -1.
Вопрос 10
Сократите дробь 191919/212121. В ответ запишите разность между числителем и знаменателем получившейся дроби. Например, если получиться дробь 1/2, то в ответ записать -1.
Получите комплекты видеоуроков + онлайн версии
Пройти тест
Сохранить у себя:
Тесты по математике 9 класс
0
1008
Нравится
0




