Обыкновенные дроби
Автор скрыт
16.05.2020.
Тест. Математика, 5 класс
Будьте внимательны! У Вас есть 10 минут на прохождение теста. Система оценивания - 5 балльная. Разбалловка теста - 3,4,5 баллов, в зависимости от сложности вопроса. Порядок заданий и вариантов ответов в тесте случайный. С допущенными ошибками и верными ответами можно будет ознакомиться после прохождения теста. Удачи!
Система оценки:
5 балльная
Список вопросов теста
Вопрос 1
Как называется число, записанное над чертой дроби?
Варианты ответов
- делитель
- знаменатель
- числитель
- множитель
- частное
Вопрос 2
Сколько седьмых долей содержит единица?
Варианты ответов
- 7
- 1
- 1/7
- 6/7
- нельзя определить
Вопрос 3
В ответ запишите только число. Например: 9
Вопрос 4
Варианты ответов
- 10 000
- 1 000
- 100
- 10
- 1
Вопрос 5
Варианты ответов
Вопрос 6
В классе 11 девочек и 14 мальчиков. Какую часть класса составляют мальчики?
Варианты ответов
Вопрос 7
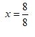
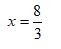
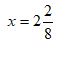
Решите уравнение: 8х = 3
Варианты ответов
Вопрос 8
Солько правильных дробей со знаменателем 5? В ответ запишите только число. Например: 9
Вопрос 9
Если число 6 представить в виде дроби со знаменателем 3, то чему будет равен числитель. В ответ запишите только число. Например: 9
Вопрос 10
Верны ли высказывания?
Варианты ответов
Получите комплекты видеоуроков + онлайн версии
Пройти тест
Сохранить у себя:
Тесты по математике 5 класс
0
217
Нравится
0


