Обратная матрица
Носова Оксана Васильевна
06.05.2021.
Тест. Математика, Прочее
Тест для проверки теоретических знаний по теме "Обратная матрица"
Система оценки:
5* балльная
Список вопросов теста
Вопрос 1
Матрица A−1 называется обратной к матрице А, если…


Варианты ответов
- 1
- 2
- 3
- 4
Вопрос 2
Если матрица вырождена, то…

Варианты ответов
- ее определитель равен нулю;
- ее определитель отрицателен;
- она симметрична;
- ее ранг равен нулю.
Вопрос 3
Обратная матрица для данной матрицы не существует, если…

Варианты ответов
- определитель данной матрицы равен нулю;
- в данной матрице хоть один элемент нулевой;
- данная матрица невырожденная;
- в данной матрице элементы главной диагонали нулевые;
Вопрос 4
Элементы обратной матрицы – это…

Варианты ответов
- алгебраические дополнения;
- миноры;
- мажоры;
- противоположные элементы.
Вопрос 5
Сколько обратных матриц может существовать для данной?

Варианты ответов
- одна;
- любое количество;
- одна или две;
- ни одной или одна.
Вопрос 6
Для существования обратной матрицы необходимо и достаточно, чтобы…

Варианты ответов
- данная матрица была симметричной;
- данная матрица была антисимметричной;
- данная матрица была невырожденной;
- данная матрица была квадратной.
Вопрос 7
Рангом матрицы называется…

Варианты ответов
- наибольший порядок ненулевых миноров;
- количество ненулевых элементов;
- количество нулевых элементов;
- наибольший порядок нулевого минора.
Вопрос 8
Обратной для единичной матрицы будет…

Варианты ответов
- нулевая матрица;
- единичная матрица;
- любая матрица;
- транспонированная матрица.
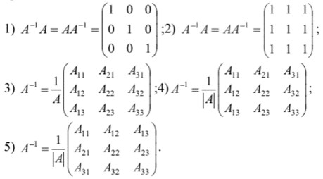
Вопрос 9
Если матрица A-1 является обратной к матрице

то верно, что:


Варианты ответов
- 1
- 2
- 3
- 4
- 5
Получите комплекты видеоуроков + онлайн версии
Пройти тест
Сохранить у себя:
Тесты по математике Прочее
0
1371
Нравится
0


