Неравенства с параметром
Список вопросов теста
Вопрос 1
Составьте верное соотношение между значениями параметра и решениями неравенства: ax-3>2
1.
нет решений
2.
x>5/a
3.
x<5/a
Варианты ответов
- a>0
- a=0
- a<0
Вопрос 2
Составьте верное соотношение между значениями параметра и решениями неравенства: 5x-a>ax+3
1.
нет решений
2.
x>(a+3)/(5-a)
3.
x<(a+3)/(5-a)
Варианты ответов
- a<5
- a=5
- a>5
Вопрос 3
При каких значениях a неравенства 2x+1<x+2a и x-2a-3<2a равносильны?
Вопрос 4
Чему равно значение параметра \(a\), при котором неравенство \(5x-a>ax+3\) не имеет решений? В ответе запишите только число. Например, 10
Вопрос 5
Составьте верное соотношение между значениями параметра и решениями неравенства: 1+x≤ax
1.
нет решений
2.
x≥-1/(1-a)
3.
x≤-1/(1-a)
Варианты ответов
- a>1
- a=1
- a<1
Вопрос 6
Укажите, при каких значениях коэффициент перед x равен нулю: (2a-4)x+25>0.
Вопрос 7
При каких значениях параметра a уравнение ax+6<12x+5a не имеет корней?
Вопрос 8
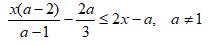
Укажите значение параметра, при котором решением неравенства
будет любое число.
Вопрос 9
Укажите значения параметра, при которых коэффициент перед x равен нулю в неравенстве: (5-a)x>13
Вопрос 10
Выберите неравенства с параметром:
Варианты ответов
- x+5<0
- ax<5x
- x+5>ax


