Неопределенный интеграл
Список вопросов теста
Вопрос 1
Нахождение производных и нахождение неопределенных интегралов (дифференцирование и интегрирование) – это два взаимно обратных действия, как, например, сложение/вычитание или умножение/деление.
Давайте повторим нахождение производной.
Найдите производную данной функции

Варианты ответов

Варианты ответов
- 1
- 2
- 3
Вопрос 2
Определение первообразной
Функция F(x) называется первообразной функции f(x), если F′(x)=f(x).
Правило 1. Первообразная суммы равна сумме первообразных
F(x+y)=F(x)+F(y)
Найти первообразную для функции y=4x3 + cos(x)
Варианты ответов

Варианты ответов
- 1
- 2
- 3
Вопрос 3
Правило 2. Если F(x) – первообразная для f(x), то k∗F(x) – первообразная для функции k∗f(x) (Коэффициент можем выносить за функцию).
Найдите первообразную функции y=7sin(x)

Варианты ответов
- - 7cos(x)
- 7cos(x)
- - 7sin(x)
- - cos(7x)
Вопрос 4
Правило 3. Если у=F(x)- первообразная для функции y=f(x), то первообразной для функции y=f(kx+m) служит функция y= 1/k ∗F(kx+m).
Найти первообразную функции y=cos(7x).

Варианты ответов
- 1/7cos(7x)
- 7sin(7x)
- 1/7sin(7x)
Вопрос 5
Неопределенный интеграл – это…

Варианты ответов
- совокупность всех производных функции f(x).
- совокупность всех первообразных F функции f(x), определенных на некотором промежутке.
- совокупность некоторых первообразных F функции f(x), значение которых неопределено.
Вопрос 6
Чему равен неопределенный интеграл от нуля?

Варианты ответов
- 0
- 1
- C
- x
Вопрос 7
Чему равен неопределенный интеграл от единицы?

Варианты ответов
- х + С
- C
- 1 + С
- 0
Вопрос 8
Чему равен неопределенный интеграл sin(x)?

Варианты ответов
- – cos(x) + C
- cos(x) + C
- tg(x) + C
- arcsin(x) + C
Вопрос 9
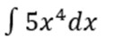
Вычислите 

Варианты ответов

Варианты ответов
- 1
- 2
- 3
- 4


