Неделя 1
Список вопросов теста
Вопрос 1
Сколькими способами может разместиться семья из трёх чело-
век в четырёхместном купе, если других пассажиров в купе
нет?
Варианты ответов
- 6
- 24
- 18
- 48
Вопрос 2
На станции 7 запасных путей. Сколькими способами можно
расставить на них 4 поезда?
Варианты ответов
- 840
- 35
- 5040
- 48
Вопрос 3
Сколькими способами тренер может определить, кто из
12 спортеменок, готовых к участию в эстафете 4×100 м , побе-
жит на первом, втором, третьем и четвертом этапах?
Варианты ответов
- 11880
- 840
- 15600
- 40120
Вопрос 4
Сколькими способами 6 студентов, с д а ю щ и х экзамен, могут
занять места в аудитории, в которой стоит 15 одноместных
столов?
Варианты ответов
- 3603000
- 7520000
- 2180000
- 1560000
Вопрос 5
Бригада, занимающаяся ремонтом школы, состоит из 1 2 маляров и 5 плотников. Из них иля ремонта физкультурного
зала надо выделить 4 маляров и 2 плотников. Сколькими спо-
собами можно это сделать?
Варианты ответов
- 4950
- 2200
- 3600
- 660
Вопрос 6
Алеша и Боря могут покрасить забор за 3 ч . Алеша и Вася мо-
гут покрасить тот же забор за 2 ч , а Боря и Вася — за 1,5 ч . За какое вре-
мя мальчики покрасят забор, работая втроем? Ответ дайте в минутах.
Варианты ответов
- 92
- 80
- 72
- 100
Вопрос 7
Три землекопа подрядились вырыть котлован. Если заболеет
Иван , то двое сделают работу за 30 дней, если заболеет Петр, то за
15 дней, а если не придет Андрей, то за 12 дней. Вышел на работу один
Андрей. За сколько дней он управится?
Варианты ответов
- 60
- 90
- 120
- 150
Вопрос 8
Лодка проплыла некоторое расстояние по озеру за 4 ч . Такое же
расстояние плот проплывает по реке за 12 ч . Сколько времени затратит
л о д к а на тот же путь:
а ) по течению реки; б ) против течения реки?
Варианты ответов
- а-3 б-6
- а-4 б-8
- а-5 б-10
- а-5 б-8
Вопрос 9
Моторная лодка проходит расстояние между двумя пунктами А
и В по течению реки за 2 ч , а плот — за 8 ч . Какое время затратит мотор-
ная лодка на обратный путь?
Варианты ответов
- 4
- 3
- 5
- 6
Вопрос 10
Для получения томат-пасты протертую массу томатов выпари-
вают в специальных машинах. Сколько томат-пасты, содержащей 30%
воды, получится из 28 т протертой массы томатов , содержащей 95%
воды?
Варианты ответов
- 3.4
- 5.6
- 7
- 12
Вопрос 11
В двух сплавах меди и цинка отношение меди к цинку 4: 3 и 2:3
соответственно. После совместной переплавки 140 кг первого сплава,
150 кг второго и некоторой массы чистой меди получили сплав, в кото-
ром меди на 20 кг больше, чем цинка. Найти массу нового сплава.
Варианты ответов
- 320
- 350
- 380
- 480
Вопрос 12
Имеется два куска сплава олова и свинца. Первый, массой
300 г , содержит 60% олова, второй содержит 40% олова. Сколько грам-
мов от второго куска нужно добавить к первому, чтобы получить сплав
с содержанием олова 56%?
Варианты ответов
- 150
- 120
- 100
- 180
Вопрос 13
Имеется два куска сплава олова и свинца. Первый, массой
300 г , содержит 60% олова, второй содержит 40% олова. Сколько грам-
мов от второго куска нужно добавить к первому, чтобы получить сплав
с содержанием олова 56%?
Варианты ответов
- 150
- 100
- 120
- 180
Вопрос 14
Имеется два куска сплава олова и свинца. Первый, массой
300 г , содержит 60% олова, второй содержит 40% олова. Сколько грам-
мов от второго куска нужно добавить к первому, чтобы получить сплав
с содержанием олова 56%?
Варианты ответов
- 150
- 100
- 120
- 180
Вопрос 15
Имеется два куска сплава олова и свинца. Первый, массой
300 г , содержит 60% олова, второй содержит 40% олова. Сколько грам-
мов от второго куска нужно добавить к первому, чтобы получить сплав
с содержанием олова 56%?
Варианты ответов
- 150
- 100
- 120
- 180
Вопрос 16
Имеется два куска сплава олова и свинца. Первый, массой
300 г , содержит 60% олова, второй содержит 40% олова. Сколько грам-
мов от второго куска нужно добавить к первому, чтобы получить сплав
с содержанием олова 56%?
Варианты ответов
- 150
- 100
- 120
- 180
Вопрос 17

Варианты ответов
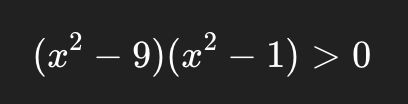
- (−∞, −3)∪(−1, 1)∪(3, +∞)
- (−3, −1)∪(1, 3)
- (−∞, −1)∪(1, +∞)
- (−3, −1)∪(−1, 1)∪(1, 3)
Вопрос 18

Варианты ответов
- (−∞, −4) ∪ [8, +∞)
- (−∞, −4] ∪ [8, +∞)
- (−4, 8)
- (−∞, −4) ∪ (8, +∞)
Вопрос 19

Варианты ответов
- (−∞, 1)∪(1, 24)
- (−∞, 1]∪[1, 24)
- (1, 24)
- (−∞, 24)
Вопрос 20

Варианты ответов
- (−3, 2)
- (−1, 2)
- (−3, 3)
- (−1, 3)


