Многочлены. Часть 2
Автор скрыт
24.01.2023.
Тест. Алгебра, 7 класс
Умножение многочленов и одночленов. Подобные слагаемые
Система оценки:
5 балльная
Список вопросов теста
Вопрос 1
Какое из произведений тождественно равно многочлену
Варианты ответов
- 2a^2(a+b)
- 2a^2(2a+ab)
- 2a^2(1+ab)
- 2a^2(2+ab)
Вопрос 2

Варианты ответов
- 1
- 2
- 3
- 4
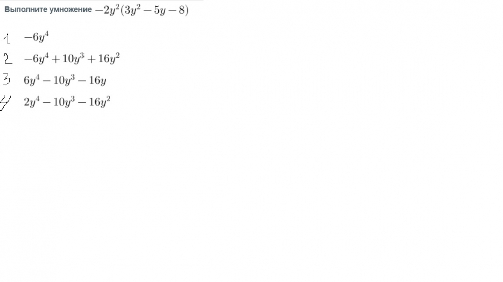
Вопрос 3

Варианты ответов
- 1
- 2
- 3
- 4
Вопрос 4
Упростите выражение 1,5х (4 - 6х) - 3х (х - 4) и найдите его значение при х = 1
Впишите ответ
Вопрос 5
Решите уравнение: .
Впишите только число
Вопрос 6
Выполните умножение (5в - 4)·(-2в - 3)
Варианты ответов
- -10b^2+7b-12
- -10b^2-7b+12
- 10b^2+7b-12
- -10b^3+7b-12
Вопрос 7
Представьте в виде многочлена (2х - 2)·(-х^2 + 7х - 1)
Варианты ответов
- -2x^3+16x^2+16x-2
- -2x^3+16x^2-16x+2
- -2x^3+16x^2+16x+2
Вопрос 8
Представить в виде многочлена выражение 8 - (3а - 2)·(а - 4)
Варианты ответов
- -3a^2-14a-16
- -3a^2+10a-16
- -3a^2+14a
Вопрос 9
Запишите в виде многочлена выражение (3y - 2)·(y2 - y + 1)
Варианты ответов
- -2y^2+2y-2
- -5y^2+3y^3+5y-2
- -5y^2+3y^3+5y+2
Вопрос 10
Упростите выражение 2,5y(4y - 2) - 5y(2y - 8) и найдите его значение при у = -6
Варианты ответов
- -210
- 210
- 235
- -235
Вопрос 11
При всех значениях а значение выражения 3a(a - 8) + 2(a2 + 12a) - 5a2 + 6 равно:
Варианты ответов
- 6
- -6
- 0
Вопрос 12
Упростите выражение (2x + 3y)·(5x - 1) - (10x2 + 15xy)
Варианты ответов
- 2x+3y
- -2x-3y
- -2x+3y
Вопрос 13
Упростите выражение 5a2 - 2a(5 + 3a) и найдите значение при а=1. Впишите только число
Получите комплекты видеоуроков + онлайн версии
Пройти тест
Сохранить у себя:
Тесты по алгебре 7 класс
0
162
Нравится
0


