Метод прогонки
Носова Оксана Васильевна
30.09.2020.
Тест. Математика, Прочее
Данный предназначен для проверки знаний обучающихся по теме "Метод прогонки"
Система оценки:
5* балльная
Список вопросов теста
Вопрос 1
Продолжите предложение 
Если ненулевые элементы матрицы коэффициентов расположены только на главной диагонали и на нескольких побочных диагоналях, то такие матрицы называются…
Варианты ответов
- матрицами ленточной структуры
- матрицами ненулевой структуры
- матрицами побочной структуры
Вопрос 2
Выберите верный вариант ответа.
Какая матрица представлена на рисунке?

Варианты ответов
- двухдиагональная матрица
- трехдиагональная матрица
- четырехдиагональная матрица
Вопрос 3
Выберите верный вариант ответа.
В чём суть метода прогонки?

Варианты ответов
- в нахождении x_i=∆_i/∆ , где i = 1, 2, …,n, ∆=detA, а ∆_i равно определителю, который получается после замены в матрице А i-го столбца столбцом из правых частей
- решение находится с помощью обратной матрицы
- в последовательном исключении неизвестных
Вопрос 4
Установите соответствие между этапами метода прогонки и их реализацией.


1.
Прямая прогонка
2.
Обратная прогонка
Варианты ответов
- Б
- А
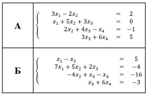
Вопрос 5
Для какой из систем уравнений выполняется условие диагонального преобладания?


Варианты ответов
- А
- Б
Получите комплекты видеоуроков + онлайн версии
Пройти тест
Сохранить у себя:
Тесты по математике Прочее
0
621
Нравится
0


