Метод координат в пространстве
Белозерова Евгения Александровна
22.11.2022.
Тест. Геометрия, 11 класс
Тест содержит 10 заданий, решения заданий оформляйте в тетради.
Система оценки:
5* балльная
Список вопросов теста
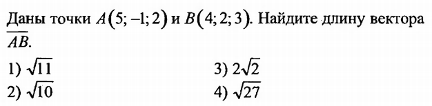
Вопрос 1

Варианты ответов
- 1
- 2
- 3
- 4
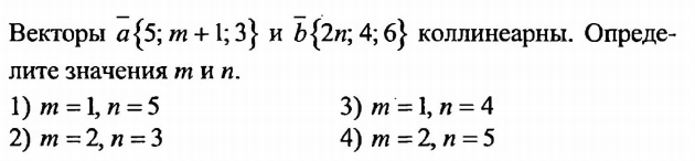
Вопрос 2

Варианты ответов
- 1
- 2
- 3
- 4
Вопрос 3

Варианты ответов
- 1
- 2
- 3
- 4
Вопрос 4

Варианты ответов
- 1
- 2
- 3
- 4
Вопрос 5

Варианты ответов
- 1
- 2
- 3
- 4
Вопрос 6

Варианты ответов
- 1
- 2
- 3
- 4
Вопрос 7

Варианты ответов
- 1
- 2
- 3
- 4
Вопрос 8

Варианты ответов
- 1
- 2
- 3
- 4
- 5
- 6
Вопрос 9

Варианты ответов
- 1
- 2
- 3
- 4
Вопрос 10

Варианты ответов
- 1
- 2
- 3
- 4
- нет правильного варианта ответа
Получите комплекты видеоуроков + онлайн версии
Пройти тест
Сохранить у себя:
Тесты по геометрии 11 класс
0
1317
Нравится
0


