(Математика Профиль). Вариант 9
Список вопросов теста
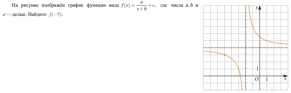
Вопрос 1

Варианты ответов
- -0,5
- -5,5
- -0,2
- -0,25
- -1
- -0,1
Вопрос 2
В сборнике билетов по биологии всего 50 билетов, в 15 из них встречается вопрос по теме "Зоология". Найдите вероятность того, что в случайно выбранном на экзамене билете школьнику не достанется вопроса по теме "Зоология".
Варианты ответов
- 0,7
- 0,3
- 0,4
- 0,6
- 0,2
- 0,15
- 0,85
Вопрос 3

Варианты ответов
- 0,5
- 0,1
- 0,2
- 0,3
- 0,4
- 0,6
- 0,7
- 0,8
- 0,9
Вопрос 4

Варианты ответов
- 1,12
- -3,2
- -1,2
- 1,6
Вопрос 5
В основании прямой призмы лежит ромб с диагоналями, равными 6 и 8. Площадь ее поверхности равна 248. Найдите боковое ребро этой призмы.
Варианты ответов
- 10
- 5
- 7
- 14
- 21
Вопрос 6

Варианты ответов
- 1
- 2
- 3
- 0
- -1
- -2
- -3
Вопрос 7

Варианты ответов
- 4,5
- 6,5
- 5,5
- 4
- 5
- 6
Вопрос 8
Митя, Антон, Гоша и Борис учредили компанию с уставным капиталом 200000 рублей. Митя внес 14% уставного капитала, Антон — 42000 рублей, Гоша — 0,12 уставного капитала, а оставшуюся часть капитала внес Борис. Учредители договорились делить ежегодную прибыль пропорционально внесенному в уставной капитал вкладу. Какая сумма от прибыли 1000000 рублей причитается Борису? Ответ дайте в рублях.
Варианты ответов
- 530 000
- 420 000
- 210 000
- 470 000
- 580 000
- 790 000
Вопрос 9

Варианты ответов
- 3,4
- 4,3
- -3,4
- -4,3
- -4,6
- 4,6
- 6,4
- -6,4
Вопрос 10
Автоматическая линия изготавливает батарейки. Вероятность того, что готовая батарейка неисправна, равна 0,02. Перед упаковкой каждая батарейка проходит систему контроля. Вероятность того, что система забракует неисправную батарейку, равна 0,98. Вероятность того, что система по ошибке забракует исправную батарейку, равна 0,01. Найдите вероятность того, что случайно выбранная изготовленная батарейка будет забракована системой контроля.
Варианты ответов
- 0,0294
- 0,0296
- 0,9802
Вопрос 11

Варианты ответов
- -1
- 18
- 17
- 1
- 0


