Математика ОГЭ №20 Неравенства. Системы неравенств.
Семенова Светлана Александровна
21.01.2022.
Тест. Математика, 9 класс
Выбрать правильный (правильные) ответ(ы) из всех предложенных
Система оценки:
5* балльная
Список вопросов теста
Вопрос 1
Варианты ответов
- [-5;2]
- (2;3)
- [-3;2)
- (-2;5]
Вопрос 2

Варианты ответов
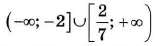
Вопрос 3

Варианты ответов
- (-1;4)
- (-4;1)
- (-4;-1)
- (1;4)
Вопрос 4

Варианты ответов
- [1;2]
- [-1;2]
- [-2;1]
- [-2;-1]
Вопрос 5

Варианты ответов
Получите комплекты видеоуроков + онлайн версии
Пройти тест
Сохранить у себя:
Тесты по математике 9 класс
0
272
Нравится
0









