Логические элементы
Автор скрыт
24.03.2020.
Тест. Информатика, 8 класс
Будьте внимательны! У Вас есть 10 минут на прохождение теста. Система оценивания - 5 балльная. Разбалловка теста - 3,4,5 баллов, в зависимости от сложности вопроса. Порядок заданий и вариантов ответов в тесте случайный. С допущенными ошибками и верными ответами можно будет ознакомиться после прохождения теста. Удачи!
Система оценки:
5 балльная
Список вопросов теста
Вопрос 1
Как называют логический элемент "И"?
Варианты ответов
- Конъюнктор.
- Инвертор.
- Дизъюнктор.
- Импликатор.
Вопрос 2
Как называют логический элемент "ИЛИ"?
Варианты ответов
- Инвертор.
- Конъюнктор.
- Дизъюнктор.
- Буфер.
Вопрос 3
Как называют логический элемент "НЕ"?
Варианты ответов
- Инвертор.
- Дизъюнктор.
- Конъюнктор.
- Аппликатор.
Вопрос 4
Какой логический элемент изображён на рисунке?
Варианты ответов
- Конъюнктор.
- Дизъюнктор.
- Инвертор.
- Импликатор.
Вопрос 5
Какой логический элемент изображён на рисунке?
Варианты ответов
- Дизъюнктор.
- Конъюнктор.
- Инвертор.
- Аппликатор.
Вопрос 6
Какой логический элемент изображён на рисунке?
Варианты ответов
- Инвертор.
- Конъюнктор.
- Дизъюнктор.
- Импровизатор.
Вопрос 7
Дискретная форма - это ...
Варианты ответов
- форма представления, при которой информация преподнесена в виде фиксированного набора отдельных значений.
- форма представления информации, которая объединяет два высказывания в одно новое, которое будет являться ложным тогда и только тогда, когда оба исходных высказывания истины.
- форма представления, при которой информация преподнесена в виде отдельных наборов фиксированных значений.
Вопрос 8
Логический элемент - это ...
Варианты ответов
- дискретный преобразователь, который выдаёт после обработки двоичных сигналов значение одной из логических операций.
- преобразователь, который выдаёт после обработки десятичных сигналов значение одной из логических операций.
- дискретный преобразователь, который выдаёт после обработки двоичных сигналов значение всех логических операций.
Вопрос 9
Какому логическому выражению соответствует предоставленная на рисунке схема?

Варианты ответов
- F = A.
- F = Ā.
- F = A & Ā.
- F = A V Ā.
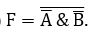
Вопрос 10
Какому логическому выражению соответствует предоставленная на рисунке схема?
Варианты ответов
Получите комплекты видеоуроков + онлайн версии
Пройти тест
Сохранить у себя:
Тесты по информатике 8 класс
0
11403
Нравится
0





