Квадратный корень из степени
Список вопросов теста
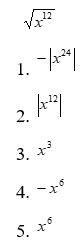
Вопрос 1
Преобразуйте данное выражение.

Варианты ответов
- 1
- 2
- 3
- 4
- 5
Вопрос 2
Преобразуйте выражение
, при у < 0.
Варианты ответов
-
-y9
-
y9
-
y18
-
y-9
-
-y36
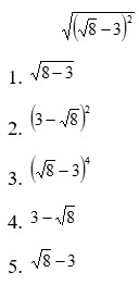
Вопрос 3
Найдите значение выражения
. В ответ запишите только число, например 5. Если в ответе получится десятичная дробь, то отделите целую часть от дробной запятой. Например: 0,3
Вопрос 4
Найдите значение выражения
.
Варианты ответов
- 0,05
- -0,05
- 0,025
- 0
- 0,2236
Вопрос 5
Вычислите значение выражения
. В ответ запишите только число, например 5. Если в ответе получится десятичная дробь, то отделите целую часть от дробной запятой. Например: 0,3
Вопрос 6
Найдите значение выражения
.
Варианты ответов
- 8
- -8
- 64
- не имеет значения
- -2
Вопрос 7
Упростите данное выражение.

Варианты ответов
- 1
- 2
- 3
- 4
- 5
Вопрос 8
Найдите значение выражения
. В ответ запишите только число, например 5. Если в ответе получится десятичная дробь, то отделите целую часть от дробной запятой. Например: 0,3
Вопрос 9
Верно ли равенство
? В ответ запишите Да или Нет
Вопрос 10
Верно ли равенство
? В ответе запишите Да или Нет


