Корни степени п.
Автор скрыт
17.11.2022.
Тест. Математика, 10 класс
Тест состоит из 12 вопросов, которые позволяют проверить знания по теме на базовом уровне.
Система оценки:
5* балльная
Список вопросов теста
Вопрос 1
Закончите определение
Корнем степени п из числа а называют такое число х (если оно существует), п-я степень которого равна...
Варианты ответов
- а
- п
- х
Вопрос 2
Выберите верные утверждения:
Варианты ответов
- Корень четвёртой степени числа 81 равен (-3).
- Для любого действительного числа существует корень чётной степени.
- Корень чётной степени из отрицательного числа равен нулю.
- Существует ровно два корня чётной степени из любого положительного числа;
- Из любого положительного действительного числа корень пятой степени число положительное;
Вопрос 3
Какие равенства верны?
Варианты ответов
- а
- б
- в
- г
Вопрос 4
Найдите значение выражения
Вопрос 5
Вычислите
Вопрос 6
Упростите выражение
Вопрос 7
Упростите выражение
Вопрос 8

Вопрос 9
Вычислите 
Вопрос 10
При каком а верно равенство
Варианты ответов
- только при положительном а
- при неотрицательном а
- любом действительном а
- при отрицательном а
- если п-нечётное, то а - любое, если п-чётное. то а - положительное или ноль
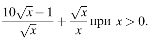
Вопрос 11
Найдите значение выражения
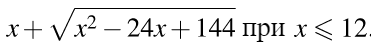
Вопрос 12
Чему равно значение выражения
?
Варианты ответов
- 12
- 2х-12
- 12-2х
- невозможно определить
Получите комплекты видеоуроков + онлайн версии
Пройти тест
Сохранить у себя:
Тесты по математике 10 класс
3
1065
Нравится
0



Спасибо, отредактировала
Здравствуйте, Маргарита. В разделе "Мои тесты", в списке тестов найдите нужный тест и нажмите на "Редактировать". Далее перейдите на вкладку "Шаг 2. Вопросы". Отредактируйте вопрос, нажмите на "Сохранить вопрос" и затем "Сохранить тест". Если у Вас остались вопросы, напишите их, пожалуйста, в нашу службу техподдержки на email: [email protected]
К сожалению поторопилась, в Вопросе 2 верным выбран ответКорень четвёртой степени числа 81 равен (-9). ОШИБОЧНО