Координаты вектора
Чернойван Геннадий Васильевич
24.10.2020.
Тест. Геометрия, 9 класс
Проверка знаний по теме "Координаты вектора. Простейшие задачи в координатах.
7 заданий. Время 10 минут
Система оценки:
5* балльная
Список вопросов теста
Вопрос 1
Найти координаты вектора КМ, если К(- 2; 4), М(1; 6)
Варианты ответов
- {3; 2}
- {- 1; 10}
- {- 1; 2}
- {- 3; - 2}
Вопрос 2
Найдите модуль вектора a {5; - 12}
Запишите только число
Вопрос 3
Найдите модуль вектора АВ, если А(0; - 6), В(- 8;0)
Запишите только число
Вопрос 4
Найдите расстояние между точками С и Р, если С(1; 2), Р(10; - 10)
Запишите только число
Вопрос 5
Найдите координаты середины отрезка МЕ, если М(- 12; 7), Е(2; 9)
Ответ укажите по образцу: (5;-8). Не используйте пробел.
Вопрос 6
OA=2, OC=3. Найдите координаты вершины B прямоугольника OABC.
Ответ укажите по образцу: (5;-8). Не используйте пробел.
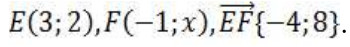
Вопрос 7
Найдите значение x, если

Запишите только число
Получите комплекты видеоуроков + онлайн версии
Пройти тест
Сохранить у себя:
Тесты по геометрии 9 класс
0
578
Нравится
0


