Конус, усечённый конус. Сечение конуса
Список вопросов теста
Вопрос 1
Что представляет осевое сечение усечённог конуса?
Варианты ответов
- Равнобедренный треугольник
- Равнобедренная трапеция
- Прямоугольный треугольник
- Прямоугольная трапеция
Вопрос 2
Вращением какой геометрической фигуры можно получить конус.
Варианты ответов
- Вращением прямоугольного треугольника вокруг катета.
- Вращением прямоугольника вокруг одной из сторон.
- Вращением прямоугольного треугольника вокруг гипотенузы.
- Вращением прямоугольника вокруг диагонали
Вопрос 3
Что представляет собой боковая поверхность конуса?
Варианты ответов
- Круг
- Сектор
- Овал
- Прямоугольник
Вопрос 4
Отрезки, соединяющие вершину конуса с соответствующими точками окружности в конусе называются
Варианты ответов
- Высотами
- Образующими
- Осями
- Диагоналями
Вопрос 5
Сколько образующих можно провести в конусе
Варианты ответов
- Одну
- Две
- Три
- Бесконечное множество.
Вопрос 6
Какого элемента нет у конуса?
Варианты ответов
- Радиус
- Вершина
- Образующая.
- Апофема.
Вопрос 7
Сколько оснований имеет конус
Варианты ответов
- Одно
- Два
- Три
- Много
Вопрос 8
В основании конуса лежит
Варианты ответов
- Круг
- Полукруг
- Треугольник
Вопрос 9
Объем конуса.
Варианты ответов
-
V=1/3πR2h
-
V=2πr2
- V=2πr
- V=1/3πRh
Вопрос 10
Прямая, проходящая через вершину конуса и центр его основания, называется
Варианты ответов
- Осью
- Радиусом
- Образующей
- Сечение
Вопрос 11
Что представляет собой осевое сечение конуса?
Варианты ответов
- Круг
- Овал
- Прямоугольник
- Треугольник
Вопрос 12
Площадь боковой поверхности конуса.
Варианты ответов
- S=2πrl
- S=πrl
- S=2πr
- S=πrh
Вопрос 13
Площадь полной поверхности конуса.
Варианты ответов
-
2Sбок.+ Sосн.
-
2Sбок.+ 2Sосн.
-
Sбок.+ Sосн.
-
Sбок.+ 2Sосн.
Вопрос 14
Укажите формулу для вычисления площади боковой поверхности усечённого конуса
Варианты ответов
Вопрос 15
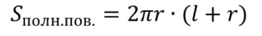
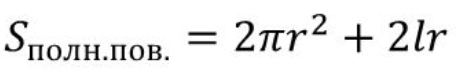
Укажите формулу для вычисления площади полной поверхности усечённого конуса.
Варианты ответов
Вопрос 16
Объем усечённого конуса
Варианты ответов
-

-
V=πrh
-
V=1/3πh(R2+r2)
Вопрос 17

Варианты ответов
-
\(106\pi\ см\)2
-
\(168\pi\ см\)2
-
\(168\ см\)2
-
\(36\pi\ см\)2
Вопрос 18

Варианты ответов
-
\(60\pi\ см\)2
-
\(35\pi\ см\)2
-
\(5\pi\ см\)2
-
35 см2
Вопрос 19
Определите площадь боковой поверхности усечённого конуса, если радиусы оснований равны 6 см и 8 см, образующая 5 см?
Варианты ответов
-
\(70\ \pi\ см\) 2
-
\(70\ \ см\) 2
-
\(10\ \pi\ см\) 2
-
\(240\ \pi\ см\)2
Вопрос 20
Площадь развертки полной поверхности усечённого конуса \(150\ \pi\ см\)2
Чему равна площадь его боковой поверхности, если радиусы оснований 4 см и
6 см?
Варианты ответов
-
\(98\ см\)2
-
\(98\ \pi\ см\)2
-
\(69\ \ см\)2
-
\(69\ \pi\ см\)2









