Контрольная работа по математике 1
Таможникова Галина
13.05.2020.
Тест. Математика, 9 класс
Контрольная работа по математике. Подготовка к ОГЭ. Вариант 1
Система оценки:
5 балльная
Список вопросов теста
Вопрос 1

Вопрос 2

Вопрос 3

Вопрос 4

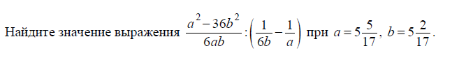
Вопрос 5

Вопрос 6

Вопрос 7

Вопрос 8

Вопрос 9

Вопрос 10

Вопрос 11

Варианты ответов
- -4
- 4
- -1
- 1
- 0
- -2
- 2
Вопрос 12

Получите комплекты видеоуроков + онлайн версии
Пройти тест
Сохранить у себя:
Тесты по математике 9 класс
0
206
Нравится
0


