Итоговый тест по геометрии за 7 класс № 2
Список вопросов теста
Вопрос 1
Отрезок изображен на рисунке:

Варианты ответов
- а
- б
- в
- г
Вопрос 2
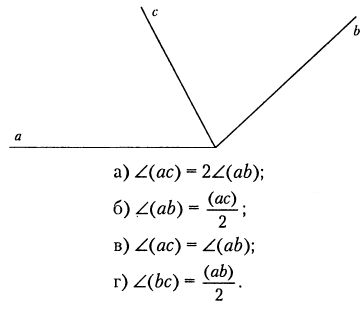
На рисунке луч с - это биссектриса угла (ab). Выберите все верные равенства.

Варианты ответов
- а
- б
- в
- г
Вопрос 3
Изображённые на риcунке треугольники:

Варианты ответов
- равны по двум сторонам и углу между ними
- равны по стороне и двум прилежащим к ней углам
- не равны
- равны по трем сторонам
Вопрос 4
Далее привдено несколько утверждений (см. рисунок). Выберите правильную очерёдность этих утверждений, доказывающих теорему о смежных углах.

Варианты ответов
-
\(\angle\)(a1b) и \(\angle\)(a2b) - смежные
-
луч проходит между сторонами угла (a1a2)
-
\(\angle\) (a1a2) - развёрнутый угол
-
\(\angle\) (a1a2) =180o
-
\(\angle\)(a1b) + \(\angle\)(a2b) = 180o
Вопрос 5
Углы АОВ и COD являются вертикальными. Угол АОВ равен 138o. Какова градусная мера угла COD ?
В ответе напишите телько число - градусную меру угла COD.
Вопрос 6
На рисунке прямые m и n паралельны, а угол 3 = 112o. Тогда угол 1 равен...
В ответе напишите только число - градусную меру угла 1.

Вопрос 7
На рисунке угол А равен...
В ответе напишите только число - градусную меру угла А.

Вопрос 8
В треугольнике АВС угол А равен 72o, а угол В в 5 раз больше угла С. Тогда угол С равен...
В ответе напишите только число - градусную меру угла С.


