Итоговый тест
Суворова В. А.
24.05.2020.
Тест. Информатика, 10 класс
Итоговое тестирование за курс 10 класса. Тест содержит 13 вопросов. Время выполнения 15 минут
Система оценки:
5 балльная
Список вопросов теста
Вопрос 1
Выберите правильную запись функции вывода данных
Варианты ответов
- Write
- Readln
- Writeln
Вопрос 2
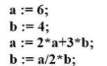
Определите значение переменной b после выполнения фрагмента:
Вопрос 3
Операция присваивания меняет
Варианты ответов
- тип переменной
- имя переменной
- значение переменной
Вопрос 4
К цели кодирования информации относится:
Варианты ответов
- Засекречивание информации
- Быстрый способ записи
- Передача по техническим каналам связи
- Выполнение математических вычислений
Вопрос 5
Один разряд двоичного кода равен
Варианты ответов
- 1 байт
- 1 бит
- 1 килобайт
- 1 мегабайт
Вопрос 6
Векторные графические изображения хорошо поддаются масштабированию так как
Варианты ответов
- используется высокое пространственное разрешение
- формируются из пикселей
- формируются из графических примитивов
- используется палитра с большим количеством цветов
Вопрос 7
Определите значение переменной
а:=(167 mod 100+50) div 10
Вопрос 8
Какой ученый внес вклад по проблеме помехоустойчивости систем передачи информации?
Варианты ответов
- К.Э. Шеннон
- А.Н. Колмогоров
- В.А. Котельников
Вопрос 9
К свойствам алгоритма не относится:
Варианты ответов
- дискретность
- понятность
- точность
- конечность
- визуальность
Вопрос 10
Найди лишнее
Варианты ответов
- шина адреса
- шина управления
- шина устройств
- шина данных
Вопрос 11
Определить значение переменной b после выполнения фрагмента:
var a,b:integer;
begin
a:=50;
b:=0;
while a>0 do
begin
a:= a-10;
b:=b+5;
Вопрос 12
Двоичное число 110001 чему равно в десятичной системе счисления?
Вопрос 13
Генератор случайных чисел в Паскаль
Варианты ответов
- Case
- Random
- Array
- Until
Получите комплекты видеоуроков + онлайн версии
Пройти тест
Сохранить у себя:
Тесты по информатике 10 класс
0
172
Нравится
0


