Итоговый тест
Пользователь
13.05.2020.
Тест. Информатика, 8 класс
Итоговый тест за по информатике курс 8 класса, по учебнику Л.Л.Босова
Система оценки:
5 балльная
Список вопросов теста
Вопрос 1
Определи значения переменных a и b после выполнения фрагмента алгоритма

Варианты ответов
- 3, 12
- 5,10
- 2, 17
- 10, 5
Вопрос 2
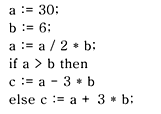
Определи значения переменной с после выполнения фрагмента алгоритма

Варианты ответов
- 72
- 75
- 70
- 71
Вопрос 3
Какому логическому выражению соответствует таблица истинности

Варианты ответов
- A & B
- A v B
- ⌐(A & B)
- ⌐A & ⌐B
Вопрос 4
Переведи десятичное число 13510 в двоичную систему счисления.
Вопрос 5
Переведи двоичное число 1000012 в десятичную систему счисления
Вопрос 6
Алгоритмом можно считать:
Варианты ответов
- описание процесса решения квадратного уравнения
- расписание уроков в школе
- технический паспорт автомобиля
Вопрос 7
Дан фрагмент алгоритма
а:=8
b:=6+3*a
a:=b/3*a
Чему равно значение переменной а после его исполнения?
Вопрос 8
Вещественные числа имеют тип данных:
Варианты ответов
- real
- integer
- boolean
- string
Вопрос 9
Разделителями между операторами служит:
Варианты ответов
- точка
- точка с запятой
- пробел
- запятая
Вопрос 10
К какому виду алгоритмов модно отнести алгоритм, схема которого представлена ниже?

Варианты ответов
- Линейный
- Разветвляющийся
- Циклический
- С параметром
Получите комплекты видеоуроков + онлайн версии
Пройти тест
Сохранить у себя:
Тесты по информатике 8 класс
0
272
Нравится
0


