Итоговое тестирование за первый семестр 1 вариант
Автор скрыт
11.12.2022.
Тест. Математика, 10 класс
Дифференцированный зачёт за первый семестр для студентов первого курса. Математика.
Система оценки:
Зачёт/Незачёт
Список вопросов теста
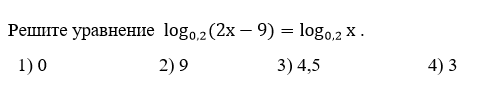
Вопрос 1

Варианты ответов
- 1)
- 2)
- 3)
- 4)
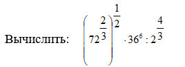
Вопрос 2

Варианты ответов
- 1)
- 2)
- 3)
- 4)
Вопрос 3

Варианты ответов
- 1)
- 2)
- 3)
- 4)
Вопрос 4

Варианты ответов
- 1)
- 2)
- 3)
- 4)
Вопрос 5

Варианты ответов
- 1)
- 2)
- 3)
- 4)
Вопрос 6

Варианты ответов
- 1)
- 2)
Вопрос 7

Вопрос 8

Вопрос 9

Вопрос 10

Получите комплекты видеоуроков + онлайн версии
Пройти тест
Сохранить у себя:
Тесты по математике 10 класс
0
417
Нравится
0


