Итоговое тестирование 2 курс Математика
Список вопросов теста
Вопрос 1
Если значения предела функции и самой функции в данной точке равны, то функция в этой точке называется...
Варианты ответов
- возрастающей
- разрывной
- непрерывной
- монотонной
Вопрос 2
Выберите правильное утверждение:
Варианты ответов
- значение предела функции не единственное
- постоянный множитель нельзя выносить за знак предела
- постоянный множитель можно выносить за знак предела
- предел постоянной величины равен нулю
Вопрос 3
Значение предела \(\lim_{x\rightarrow2}^{ }\left(x^2+1\right)\left(2x-3\right)\)равно:
Варианты ответов
- -5
- 7
- 5
- -7
Вопрос 4
Вычислить предел \(_{\lim_{x\rightarrow0}^{ }\left(\frac{x^3-7}{5+x}\right)}\)
Варианты ответов
- 25
- 2
- -1,4
- -2
Вопрос 5
Если функция непрерывна в каждой точке интервала, то она называется
Варианты ответов
- монотонной на этом интервале
- возрастающей на этом интервале
- убывающей на этом интервале
- непрерывной на этом интервале
Вопрос 6
Точки, в которых функция не является непрерывной называются:
Варианты ответов
- точками экстремума
- точками разрыва
- критическими точками
- точками, в которых функция не определена
Вопрос 7
Продолжите предложение: Предел произведения конечного числа функций равен:
Варианты ответов
- произведению значений пределов каждой функции в отдельности
- сумме пределов каждой функции в отдельности
- сумме значений производных этих функций
- не существует
Вопрос 8
Знак производной меняется по схеме 
На каких промежутках f(x) возрастает:
Варианты ответов
- (-1;1); (1;7)
- (-∞;-1); (7;+∞)
- (-1;1); (7;+∞)
- (-∞;-1); (1;7)
Вопрос 9
Действие нахождения производной функции называется
Варианты ответов
- дифференцирование
- потенцирование
- логарифмирование
- интегрирование
Вопрос 10
Укажите верную формулу:
Варианты ответов
- (u * v)' = u' * v'
- (u * v)' = u'v + uv'
- (u * v)' = u'v - uv'
- (u * v)' = u'v' + u*v
Вопрос 11
Если при переходе через критическую точку f '(х) меняет знак с «+» на «-», то это точка:
Варианты ответов
- минимума
- перегиба
- максимума
- разрыва
Вопрос 12
Вычислите значение производной функции \(y=3x^2-12\sqrt{x}\)в точке хо= 4
Варианты ответов
- 21
- 24
- 0
- 1,3
Вопрос 13
Матрица, имеющая равное количество строк и столбцов называется...
Варианты ответов
- прямоугольная
- квадратная
- невырожденная
- однородная
Вопрос 14
Для каких матриц системы уравнений применим метод Крамера?
Варианты ответов
- вырожденных
- однородных
- произвольных
- квадратных
Вопрос 15
Вычислить определитель:
Варианты ответов
- -2
- 2
- 20
- -18
Вопрос 16
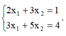
Решить систему уравнений по правилу Крамера: 
Варианты ответов
- {-7;-5}
- {7;-5}
- {-7;5}
- {1;2}
Вопрос 17
Решить систему уравнений по правилу Крамера:
Варианты ответов
- нет решений
- (1; 2; 3)
- (-1; -2; -3)
- (0; 0; 0)
Вопрос 18
Выберите верное утверждение:
Варианты ответов
- Тетраэдр, все грани которого равные между собой треугольники называется правильным
- Тетраэдр, все грани которого равные между собой треугольники называется равногранным
- Тетраэдр, все грани которого равные между собой треугольники называется прямоугольным.
- Нет такой фигуры
Вопрос 19
Две наклонные, длиной 10 см образуют между собой угол в 60 градусов. Чему равно расстояние между основаниями этих наклонных?
Варианты ответов
- 5
- 20
- 10
- 15
Вопрос 20
Боковое ребро наклонной четырехугольной призмы равно 12 см. Перпендикулярным сечением является ромб со стороной 5 см. Найти площадь боковой поверхности.
Варианты ответов
- 240
- 135
- 220
- 480
Вопрос 21
Высота конуса равна 5 см. На расстоянии 2 см от вершины его пересекает плоскость, параллельная основанию. Найти объём исходного конуса, если объём меньшего конуса, отсекаемого от исходного, равен 24 см3
Варианты ответов
- 70
- 80
- 50
- 60
Вопрос 22
Введите пропущенные слова: запись x→a читается как x... к a
Вопрос 23
Радиус основания цилиндра равен 4, площадь его боковой поверхности - 80π. Найти высоту цилиндра. В ответе укажите только число без единицы измерения.
Вопрос 24
Сколько существует вариантов выбора двух чисел из четырех?
Варианты ответов
- 2
- 4
- 6
- 8
Вопрос 25
Выберите число, на которое не делится число 30!
Варианты ответов
- 108
- 91
- 72
- 62
Вопрос 26
Вычислите число размещений по формуле 
Вопрос 27
Вычислите число сочетаний 
Вопрос 28
В шашечном турнире участвуют 8 человек. Каждый из них сыграл с каждым по одной партии. Сколько всего партий было сыграно?
Варианты ответов
- 28
- 24
- 36
- 16
Вопрос 29
Сколько трехзначных чисел можно составить из цифр 1, 2, 3, 4, 5, 6 без повторений цифр?
Варианты ответов
- 420
- 810
- 360
- 180
Вопрос 30
Выберите число, на которое не делится число 20!
Варианты ответов
- 76
- 45
- 46
- 910


