Итоговое повторение
Автор скрыт
03.06.2020.
Тест. Алгебра, 9 класс
Тест содержит вопросы по всему курсу алгебры 7- 9 классов.
Система оценки:
5* балльная
Список вопросов теста
Вопрос 1

Варианты ответов
-
\(-\frac{1}{3}\)
-
\(\frac{1}{5}\)
-
-0,1
-
\(\frac{11}{30}\)
Вопрос 2
О числах а и с известно, что \(а>с>0\). Из предложенных неравенст выберите верное:ние:
Варианты ответов
-
\(а+с>0\)
-
\(-2а>-2с\)
-
\(а-5>с-5\)
-
\(10а-10с<0\)
Вопрос 3

Варианты ответов
- 1
- 2
- 3
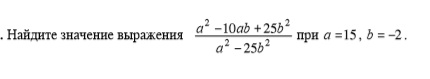
Вопрос 4

Варианты ответов
- 2,5
- 10
- -5
- 5
Вопрос 5

Варианты ответов
- 1
- -1
- 2
- -2
- 3
- -3
Вопрос 6

Варианты ответов
-
[2;6]
-
[-2;6]
-
(-2;6]
-
[-2;6)
-
(-2;-6)
Получите комплекты видеоуроков + онлайн версии
Пройти тест
Сохранить у себя:
Тесты по алгебре 9 класс
0
113
Нравится
0


