Исполнители и алгоритмы. Алгоритмические конструкции
Список вопросов теста
Вопрос 1

Исполните алгоритм при х=10 и у=15
Какие значения будут получены в результате его работы?
Варианты ответов
- -5, 10
- 5, 20
- 10, 15
- -5, 5
- 5, 5
Вопрос 2

Исполните фрагмент алгоритма при а=2 и b=0
Определите значение переменной b после выполнения фрагмента алгоритма. В ответе запишите только число.
Вопрос 3

Определите значение переменной b после выполнения фрагмента алгоритма. В ответе запишите только число.
Вопрос 4
Определите значение переменной b после выполнения алгоритма:
а = 5
b = 4
а = 2*а + 3*b
b = a/2*b
В ответе запишите только число.
Вопрос 5
Укажите правильный вариант записи условия "х - двузначное число"
Варианты ответов
- x div 10 <= 9
- (х>10) и (x<100)
- x div 100 = 0
- x mod 100 = 99
Вопрос 6
Определите значение переменной y после выполнения алгоритма.
x:=11
y:=5
t:=y
y:=x mod y
x:=t
y:=y+2*t
В ответе запишите только число.
Вопрос 7

Определите значение переменной s после выполнения фрагмента алгоритма. В ответе запишите только число.
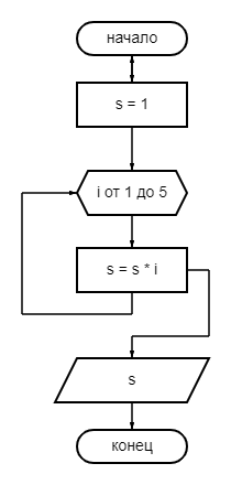
Вопрос 8

Определите значение переменной s после выполнения фрагмента алгоритма. В ответе запишите только число.
Вопрос 9
Какое логическое выражение истинно, если x принадлежит [-10,10]
Варианты ответов
- (х>10) и (х<-10)
- (х>10) или (х<-10)
- (х<10) или (х>=-10)
- (х>=-10) и (х<=10)
Вопрос 10
У исполнителя Альфа две команды, которым присвоены номера:
1. прибавь 1;
2. умножь на b
(b — неизвестное натуральное число; b ≥ 2).
Выполняя первую из них, Альфа увеличивает число на экране на 1, а выполняя вторую, умножает это число на b. Программа для исполнителя Альфа — это последовательность номеров команд. Известно, что программа 11211 переводит число 6 в число 82. Определите значение b.


