Графы
Разова Екатерина Владиславовна
11.04.2026.
Тест. Геометрия, 7 класс
Графы. Вершины и ребра. Степень вершины. Пути в графе. Связные графы.
Система оценки:
5 балльная
Список вопросов теста
Вопрос 1
Что такое граф?
Варианты ответов
- Изображение объектов и связей между ними с помощью точек и линий.
- Изображение предметов и отношений между ними с помощью точек и линий.
- Представление объектов и соединений между ними через точки и отрезки.
- Моделирование элементов и их взаимосвязей при помощи вершин и рёбер.
Вопрос 2
На рисунке изображен граф. Сколько у него рёбер, вершин, изолированных вершин?

Варианты ответов
- 5 рёбер, 4 вершины, 1 изолированная вершина
- 4 ребра, 5 вершин, 2 изолированные вершины
- 5 рёбер, 5 вершин, 2 изолированные вершины
- 4 ребра, 4 вершины, 1 изолированная вершина
Вопрос 3
Как называются линии, соединяющие вершины графа?
Варианты ответов
- Узлы
- Рёбра
- Сегменты
- Векторы
Вопрос 4
Какой граф изображен на рисунке?

Варианты ответов
- Полный граф
- Ориентированный граф
- Циклический граф
- Неориентированный граф
Вопрос 5
Что такое степень вершины?
Варианты ответов
- Количество вершин в графе
- Расстояние между вершинами
- Количество рёбер, выходящих из вершины
- Длина самого длинного ребра
Вопрос 6
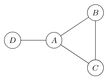
Чему равна степень вершины А в графе?

Варианты ответов
- 1
- 3
- 4
- 2
Вопрос 7
Может ли граф иметь вершину степени 0?
Варианты ответов
- Нет, не может
- Да, может
Вопрос 8
Сформулируйте свойство степени графа.
Вопрос 9
Из города А в город В ведут 3 дороги, а из города В в город С - 4 дороги. Сколькими способами можно приехать из А в С?
Варианты ответов
- 16
- 10
- 8
- 12
Вопрос 10
Какой граф называется связным?
Варианты ответов
- Граф, в котором две любые вершины соединены путем.
- Граф, в котором никакие два ребра не имеют общих точек кроме вершин.
- Граф, содержащий хотя бы одну пару вершин, соединенных ребром.
- Граф, в котором степени всех вершин равны друг другу.
Получите комплекты видеоуроков + онлайн версии
Пройти тест
Сохранить у себя:
Тесты по геометрии 7 класс
0
40
Нравится
0


