Функции y=x^(-n), их свойства и графики 2
Список вопросов теста
Вопрос 1
Укажите область определния функции \(f\left(x\right)=\frac{1}{\left(x+3\right)^2}\)
Варианты ответов
-
\(\left(-\infty;-3\right)\cup\left(-3;+\infty\right)\)
-
\(\left(-3;1\right)\)
-
\(\left(-3;+\infty\right)\)
-
\(\left(3;+\infty\right)\)
Вопрос 2
Укажите область значений функции \(y=x^{-3}-1\)
Варианты ответов
-
\(\left(-\infty;1\right)\)
-
\(\left(-1;+\infty\right)\)
-
\(\left(-\infty;-1\right)\cup\left(-1;+\infty\right)\)
-
\(\left(-3;-1\right)\)
Вопрос 3
Найдите точки пересечения графиков функций \(f\left(x\right)=x^{-6}+1\) и \(g\left(x\right)=-1\)
Варианты ответов
- (-1;1)
- такие точки не существуют
- (-1;-1)
- (1;1)
Вопрос 4
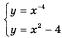
Определите число решений системы уравнений 
Варианты ответов
- 3
- 1
- 2
- 0
Вопрос 5
Найдите наибольшее значение функции \(y=x^{-4}\) на отрезке [-1;2]
Варианты ответов
- -1
- 1
-
\(\frac{1}{16}\)
-
\(\frac{1}{2}\)
Вопрос 6
Найдите наименьшее значение функции \(y=x^{-2}\) на промежутке [-2;1)
Варианты ответов
- не существует
-
\(-\frac{1}{4}\)
-
\(\frac{1}{4}\)
-
\(1\)
Вопрос 7
Определите число решений системы уравнений 
Варианты ответов
- 2
- 0
- 3
- 1
Вопрос 8
Какая из точек принадлежит графику функции \(f\left(x\right)=x^{-4}+2\)
Варианты ответов
- (1;2)
- (-4;2)
- (1;3)
- (1;0)
Вопрос 9
Найдите нули функции \(y=x^{-4}-1\)
Варианты ответов
- не существуют
- 1
- -1
- -1 и 1
Вопрос 10
Какой график соответствует функции, заданной формулой \(y=\left(x-1\right)^{-5}\)






