Формулы сокращенного умножения
Автор скрыт
02.04.2020.
Тест. Математика, 9 класс
Будьте внимательны! У Вас есть 10 минут на прохождение теста. Система оценивания - 5 балльная. Разбалловка теста - 3,4,5 баллов, в зависимости от сложности вопроса. Порядок заданий и вариантов ответов в тесте случайный. С допущенными ошибками и верными ответами можно будет ознакомиться после прохождения теста. Удачи!
Система оценки:
5 балльная
Список вопросов теста
Вопрос 1
Выберите какой одночлен надо записать вместо знака * , чтобы получился квадрат двучлена:
.

Варианты ответов
- 0,09
- 0,3
- 0,6y
-
y2
- -0.9
Вопрос 2
Вычислите наиболее удобным способом:32*28
Вопрос 3
Найдите значение выражения, применяя формулу квадрата суммы:1082
Вопрос 4
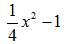
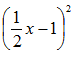
Найдите значение выражения:
Вопрос 5
Пользуясь формулами сокращенного умножения, найдите значение выражения при

Вопрос 6
Найдите значение выражения, применяя формулу квадрата разности:9992
Вопрос 7
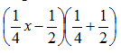
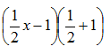
Найдите значение выражения:
Варианты ответов
- 2.28
- 22.8
- 228
- 0.228
Вопрос 8
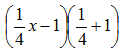
Разложите на множители:

Варианты ответов
Вопрос 9
Выполните умножение:
(0.1a+0.36b)(0.3b-0.1a)
Варианты ответов
-

-

-
0
-

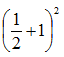
Вопрос 10
Вычислите наиболее удобным способом:

Получите комплекты видеоуроков + онлайн версии
Пройти тест
Сохранить у себя:
Тесты по математике 9 класс
0
423
Нравится
0










