Формулы
Список вопросов теста
Вопрос 1
Выберите формулу для расчета пути при равномерном движении

Варианты ответов
- 1
- 2
- 3
- 4
Вопрос 2
Выберите формулу для расчета пути при равноускоренном движении
Варианты ответов
- 1
- 2
- 3
- 4
Вопрос 3
Выберите формулу для расчета ускорения при прямолинейном равноускоренном движении
Варианты ответов
- 1
- 2
- 3
- 4
Вопрос 4
Выберите формулу для расчета ускорения при пдвижении по окружности
Варианты ответов
- 1
- 2
- 3
- 4
Вопрос 5
Выберите формулу для расчета силы всемирного тяготения
Варианты ответов
- 1
- 2
- 3
- 4
Вопрос 6
Выберите формулу, выражающую второй закон Ньютона
Варианты ответов
- 1
- 2
- 3
- 4
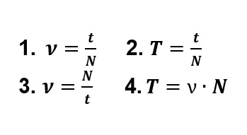
Вопрос 7
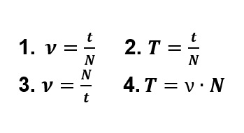
Выберете формулу для расчета периода
Варианты ответов
- 1
- 2
- 3
- 4
Вопрос 8
Выберите формулу для расчета частоты
Варианты ответов
- 1
- 2
- 3
- 4
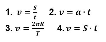
Вопрос 9
Выберите формулу для расчета скорости при движении по окружности
Варианты ответов
- 1
- 2
- 3
- 4
Вопрос 10
Расставьте соответствие
1.
Физическая величина, которая показывает время полного оборота
2.
Физическая величина, равная произведению массы тела на его скорость
3.
Физическая величина, показывающая быстроту изменения скорости
4.
Физическая величина, котороя показывает количество совершенных оборотов за единицу времени
Варианты ответов
- частота
- ускорение
- период
- импульс


