ФО Энергия
Список вопросов теста
Вопрос 1
Установите соответствие между физичекими величинами и формулами:
1.
2.
3.
4.
Варианты ответов
-
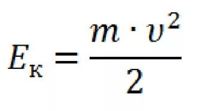
Кинетическая энергия
-
Потенциальная энергия
-
Закон сохранения энергии
-
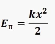
Потенциальная энергия упруго-деформированного тела
Вопрос 2
Единицами измерения энергии в системе СИ является:
Варианты ответов
- Ньютон
- Ампер
- Джоуль
- Кельвин
- Ватт
Вопрос 3
Определи энергию, которой обладает мальчик, изображенный на картинке.
Варианты ответов
- Потенциальной энергией
- Кинетической энергией
- Не обладает энергией
Вопрос 4
Определите на какую высоту необходимо поднять тело массой 6 кг, чтобы оно обладало энергией равной 120 Дж.
1 балл- за формулу
1 балл - за правильный ответ
Варианты ответов
- h=E/g
- h=E/mg
- h=E/m
- 1 м
- 2 м
- 3 м
Вопрос 5
Определите верность данных утверждений:
Варианты ответов
- Кинетической энергией обладают все тела, находящиеся в состоянии покоя.
- Потенциальной энергией обладают тела, поднятые над поверхностью земли.
- Энергия не исчезает, а превращается из одного вида в другой.
Вопрос 6
Автомобиль массой 15 000 кг движется со скоростью 10 м/с. Определите кинетическую энергию автомобиля.
Варианты ответов
- 150 кДж
- 550 кДж
- 750 кДж
-
150.103Дж
-
550.103Дж
-
750.103Дж


