Электроёмкость. Конденсаторы.
Никишина Татьяна Павловна
10.04.2020.
Тест. Физика, Прочее
Тест содержит 8 вопросов. На выполнение теста вам отводится 10 минут.
Система оценки:
5* балльная
Список вопросов теста
Вопрос 1
Что такое "конденсатор"?
Варианты ответов
- явление накопления электрического заряда
- два проводника, разделённые слоем диэлектрика
- направленное движение заряженных частиц
- величина, равная отношению работы поля при перемещении заряда из начальной точки в конечную к величине этого заряда называется
Вопрос 2
Способность проводника накапливать заряд называется
Варианты ответов
- энергией
- напряжением
- напряженностью
- электроемкостью
Вопрос 3
Электроемкость измеряется в
Варианты ответов
- Вольтах
- Фарадах
- Джоулях
- Кулонах
Вопрос 4
Как изменится электроемкость конденсатора, если увеличить заряд в 4 раза?
Варианты ответов
- увеличится в 2 раза
- уменьшится в 2 раза
- останется неизменной
- увеличится в 4 раза
Вопрос 5
Чему равна электроемкость конденсатора, если напряжение между обкладками равно 2В, а заряд на одной обкладке равен 2 Кл
Варианты ответов
- 4Ф
- 0.5Ф
- 1Ф
- 2Ф
Вопрос 6
Энергия конденсатора емкостью 6пФ и напряжением между обкладками 1000В равна
Варианты ответов
- 6 МДж
- 3 М Дж
- 6 мк Дж
- 3 мкДж
Вопрос 7
Зависит ли емкость конденсатора от его геометрических размеров?
Варианты ответов
- нет
- зависит только от материала, из которого изготовлен конденсатор
- зависит только от слоя диэлектрика между обкладками
- да
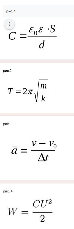
Вопрос 8
Формула вычисления ёмкости конденсатора
Варианты ответов
- 1
- 2
- 3
- 4
Получите комплекты видеоуроков + онлайн версии
Пройти тест
Сохранить у себя:
Тесты по физике Прочее
0
535
Нравится
0


