Экзаменационный тест по математике (Полный)
Давыдов Юрий Сергеевич
14.06.2020.
Тест. Математика, Прочее
При выполнении заданий 1-14 выберите правильный ответ.
Система оценки:
5* балльная
Список вопросов теста
Вопрос 1

Варианты ответов
- а
- б
- в
- г
Вопрос 2

Варианты ответов
- а
- б
- в
- г
Вопрос 3

Варианты ответов
- а
- б
- в
- г
Вопрос 4

Варианты ответов
- а
- б
- в
- г
Вопрос 5

Варианты ответов
- а
- б
- в
- г
Вопрос 6

Варианты ответов
- а
- б
- в
- г
Вопрос 7

Варианты ответов
- а
- б
- в
- г
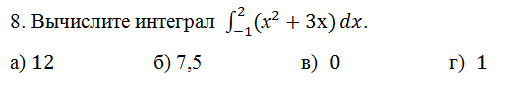
Вопрос 8

Варианты ответов
- а
- б
- в
- г
Вопрос 9

Варианты ответов
- а
- б
- в
- г
Вопрос 10

Варианты ответов
- а
- б
- в
- г
Вопрос 11

Варианты ответов
- а
- б
- в
- г
Вопрос 12

Варианты ответов
- а
- б
- в
- г
Вопрос 13

Варианты ответов
- а
- б
- в
- г
Вопрос 14

Варианты ответов
- а
- б
- в
- г
Получите комплекты видеоуроков + онлайн версии
Пройти тест
Сохранить у себя:
Тесты по математике Прочее
0
111
Нравится
0


