Дробно-рациональные уравнения
Список вопросов теста
Вопрос 1
Укажите порядок действий при решении дробно-рационального уравнения.
Варианты ответов
- Найти общий знаменатель дробей, входящих в состав уравнения.
- Умножить обе части дробного рационального уравнения на общий знаменатель.
- Решить целое уравнение.
- Исключить корни, которые обращают общий знаменатель в ноль.
Вопрос 2
Укажите дробно-рациональные уравнения.
Варианты ответов
-
3x3-x2+5=0
-
1/2x+5=2-x2
-
1:(5x+5)=7:(13x-4)
-
x4-7x=0
-
(x+3)/(x2-9)=0
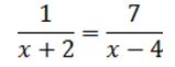
Вопрос 3
Решите уравнение
. В ответе укажите сумму корней. Если в результате получится отрицательное число, то пробел между знаком и числом не ставить.
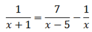
Вопрос 4
Укажите число, которое является корнем уравнения .

Варианты ответов
- 6
- -5
- 0
- 1
- 4
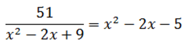
Вопрос 5
Найдите произведение корней уравнения
. Ответ запишите в виде десятичной дроби, разделяя целую часть от дробной запятой. Если в результате получается отрицательное число, то пробел между знаком и числом не ставить.
Вопрос 6
Укажите число, которое является корнем уравнения
.
Варианты ответов
- 3
- -3
- 5
- 4
- -4
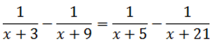
Вопрос 7
Укажите числа, которые являются корнями уравнения:
.

Варианты ответов
- 6
- -1
- 5
- 2
- 0
Вопрос 8
Найдите корни уравнения
.
Варианты ответов
- 4
- 2
- -2
- -4
Вопрос 9
При каком значении переменной t равна нулю разность дробей
.
Варианты ответов
- 1
- -1
- -5/9
- -9/5
Вопрос 10
Укажите целые уравнения.
Варианты ответов
-

-

-

-
1:(5x+5)=7:(13x-4)
-








Здравствуйте, Наталья. Спасибо за Ваш комментарий. Действительно, в задании была допущена ошибка. Она уже исправлена. Приносим наши искренние извинения. Постараемся в будущем быть внимательнее. Спасибо за помощь в улучшении качества наших заданий.
Здравствуйте, Нататья. Благодарим за Ваш комментарий. Обязательно проверим.
Ошибка в 4 вопросе. Там корень уравнения равен 4
Здравствуйте, Римма.
Сообщите, пожалуйста, нам какие именно ошибки Вы нашли. Обязательно всё проверим.
тест с ошибками