ПА ФИН второй курс 2024
Список вопросов теста
Вопрос 1
Прямоугольной матрицей называют...
Варианты ответов
- матрицу, у которой количество строк равно количеству столбцов;
- матрицу, у которой количество строк не равно количеству столбцов;
- матрицу, у которой ниже главной диагонали лежат нули;
- матрицу, определитель которой равен нулю.
Вопрос 2
Квадратной матрицей называют...
Варианты ответов
- матрицу, у которой количество строк равно количеству столбцов;
- матрицу, у которой количество строк не равно количеству столбцов;
- матрицу, у которой ниже главной диагонали лежат нули;
- матрицу, определитель которой равен нулю.
Вопрос 3
Среди предложенных матриц укажите единичную
Варианты ответов
Вопрос 4
Введите сумму элементов треугольной матрицы
Вопрос 5
Введите произведение элементов диагональной матрицы:
Вопрос 6
матрица
равна...
Варианты ответов
Вопрос 7
матрица
равна...
Варианты ответов
-
-
-
-
-
Эти матрицы нельзя умножить
Вопрос 8
Выберите пары матриц, которые нельзя умножать
Варианты ответов
Вопрос 9
Произведение матрицы А размерностью 3х7 на матрицу В существует, если размерность матрицы В равна
Варианты ответов
- 3х3
- 7х7
- 7х3
- 3х7
- 3х4
Вопрос 10
Дана СЛАУ
выберите соответствующую ей матрицу системы
Варианты ответов
-
-
-
-
нет соответствующей матрицы
Вопрос 11
Впишите вместо многоточия правильный ответ: запись вида
x→a читается как х…………к a.
Вопрос 12
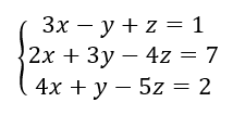
Для данной СЛАУ найдите решение и введите значение переменной y
Вопрос 13
Закончите фразу: если при вычислении предела получили одно из выражений \(\frac{0}{\infty},\ \frac{\infty}{0},\ \frac{0}{0},\ \frac{\infty}{\infty},\ \infty^0,\ 0^0,\ 0^{\infty}\) , то говорят, что это …
Вопрос 14
В теории пределов для устранения неопределенности \(\frac{0}{0}\) , которая возникает из – за присутствия дроби с многочленами, необходимо …
Варианты ответов
- Разделить числитель и знаменатель на наивысшую степень переменной
- Подставить предельное значение переменной в выражение под знаком предела
- Домножить числитель и знаменатель дроби на сопряженное (числителю или знаменателю) выражение
- Разложить числитель и знаменатель на множители
Вопрос 15
В теории пределов для устранения неопределенности \(\frac{\infty}{\infty}\) , которая возникает из – за присутствия дроби с многочленами, необходимо …
Варианты ответов
- Разделить числитель и знаменатель на наивысшую степень переменной
- Подставить предельное значение переменной в выражение под знаком предела
- Домножить числитель и знаменатель дроби на сопряженное (числителю или знаменателю) выражение
- Разложить числитель и знаменатель на множители
Вопрос 16
В теории пределов чтобы вычислить предел, необходимо …
Варианты ответов
- Разделить числитель и знаменатель на наивысшую степень переменной
- Подставить предельное значение переменной в выражение под знаком предела
- Домножить числитель и знаменатель дроби на сопряженное (числителю или знаменателю) выражение
- Разложить числитель и знаменатель на множители
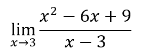
Вопрос 17
Введите числовое значение предела
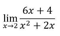
Вопрос 18
Введите числовое значение предела
Вопрос 19
Основной объект изучения в разделе "Элементы математического анализа" - ...
Вопрос 20
Если \(x\rightarrow0\), то такая величина называется ...
Вопрос 21
Если \(x\rightarrow\infty\), то такая величина называется ...
Вопрос 22
Если \(x\rightarrow\infty\), то \(\frac{1}{x}\rightarrow\)
Вопрос 23
Если x - бесконечно малая величина, то \(\frac{1}{x}\) - ...величина


