Диф.зачет математика ЕН
Список вопросов теста
Вопрос 1
Укажите число, сопряженное числу z = - 2 -3i.
Варианты ответов
- – 3-2i
- 2 + 3i
- - 2 + 3i
- 2 - 3i
Вопрос 2
Найдите модуль комплексного числа z = 3 - 4i.
Вопрос 3
Чему равна разность комплексных чисел z1 = 3 + i и z2 = 3 - i?
Варианты ответов
- 0
- 6
- 2i
- - 2i
Вопрос 4
Вычислить (2+3i)+(-6-i)-(-3+2i)?
Варианты ответов
- -1
- 2
- i
- -1-i
Вопрос 5
указать соответствие чисел и их названий
1.
\(15i\)
2.
\(3i-2\)
3.
100
Варианты ответов
- мнимое число
- комплексное число
- действительное число
Вопрос 6
Дано комплексное число z=-13 +5i . Определите его действительную и мнимую части.
Варианты ответов
- x=Re=-13, y=Imz=5
- x=Rez=-13, y=Imz=-5
- x=Rez=13, y=Imz=5
Вопрос 7
На координатной плоскости отмечена точка М(3;-7). Выберите соответствующее ей комплексное число
Варианты ответов
- z=3+7i
- z=-3-7i
- z=3-7i
Вопрос 8
Найдите модуль сопряженного комплексного числа к числу z=-15-8i.
Вопрос 9
Введите число, равное квадрату мнимой единицы.
Вопрос 10
Введите пропущенное слово:
Если дано число \(\alpha+\beta i\), то \(\beta\) называет ...................частью числа z
Вопрос 11
Введите пропущенное слово:
Если дано число \(\alpha+\beta i\), то \(\alpha\) называет ...................частью числа z
Вопрос 12
Укажите четверть, в которой находится геометрическое изображение числа, сопряженного для z=-9-12i
Вопрос 13
Модуль комплексного числа \(\alpha+\beta i\) вычисляется по формуле...
Варианты ответов
-
\(\alpha^2+\beta^2\)
-
\(\sqrt{\alpha^2+\beta^2}\)
-
\(\sqrt{\alpha^2-\beta^2}\)
-
\(\frac{\alpha}{\beta}\ \ \)
Вопрос 14
Определитель изменяет знак при:
Варианты ответов
- вынесении общего множителя строки за знак определителя
- транспонировании
- перестановке двух строк
- перестановке двух элементов
Вопрос 15
Определитель равен нулю если
Варианты ответов
- все строки различны
- имеются одинаковые строки
- один элемент нулевой
- элементы отрицательны
Вопрос 16
Отличие минора от алгебраического дополнения
Варианты ответов
- нет различий
- конкретным значением
- наличием знака
- наличием нулевой строки
Вопрос 17
Отличие матрицы от определителя
Варианты ответов
- нет различий
- по форме представления
- матрица – таблица, определитель – число
- матрица- это число, определитель - таблица
Вопрос 18
Для какой матрицы существует обратная к ней?
Варианты ответов
- прямоугольной
- квадратной
- произвольной
- треугольной
Вопрос 19
Квадратная матрица называется невырожденной, если ее определитель
Варианты ответов
- равен нулю
- равен 1
- величина определителя не имеет значения
- отличен от нуля
Вопрос 20
Система линейных уравнений называется определенной, если она имеет
Варианты ответов
- бесчисленное множество решений
- два решения
- единственное решение
- не имеет решений
Вопрос 21
Система совместна и имеет единственное решение, если
Варианты ответов
- ее определитель отличен от нуля
- ее определитель равен единице
- величина определителя не имеет значений
- ее определитель равен нулю
Вопрос 22
Можно ли решать по правилу Крамера данную систему уравнений
x1 + 2x2 + 3x3 =1
5x1 + 4x2 – x3 = 5
Варианты ответов
- можно
- нельзя
- можно, вычислив определитель составленный из коэффициентов
Вопрос 23
Как следует поступить, если на некотором этапе преобразований матрицы системы образовалась строка, целиком состоящая из нулей
Варианты ответов
- прекратить вычисления
- оставить нулевую строку без внимания
- исключить нулевую строку из последующих преобразований
Вопрос 24
Вычислить определитель матрицы
\(\binom{\cos x\ \ \ \ \ \sin x\ \ }{\sin x\ \ \ -\cos\ x}\)
Варианты ответов
- 1
- -1
- 0
- 2
Вопрос 25
Уравнение прямой имеет вид:
Варианты ответов
- у=2х+1
- у=cosx
-
\(y=x^2\)
- у=6/х
Вопрос 26
Если прямые у=k1x+b1 и у=k2x+b2 параллельны, то
Варианты ответов
-
k1=k2
-
\(k1\ne k2\)
-
k1=-k2
-
\(k1=\frac{1}{k2}\)
Вопрос 27
Выберите общее уравнение прямой на плоскости.
Варианты ответов
- Ax+By+C=0
- y=kx+b
-
\(\frac{x-x_0}{p_1}=\frac{y-y_0}{p_2}\)
-
\(\frac{x}{N}+\frac{y}{M}=1\)
Вопрос 28
Выберите верное утверждение, если y=3x+1.
Варианты ответов
- Угол угол между положительным направлением оси ОХ и данной прямой острый.
- Угловой коэффициент k=1.
- Ордината точки пересечения прямой с осью OY равна 3.
Вопрос 29
Имеются жве прямые L1 и L2, заданные уравнениями: \(A_1x+B_1y+C_1=0\ и\ A_2x+B_2+C_2=0\).
Установите соответствие между условием и взаимным раполржение прямых
1.
Пересечение
2.
Параллельность
3.
Совпадение
Варианты ответов
-
\(\frac{А_1}{A_2}=\frac{B_1}{B_2}=\frac{C_1}{C_2}\)
-
\(\frac{А_1}{A_2}\ne\frac{B_1}{B_2}\)
-
\(\frac{А_1}{A_2}=\frac{B_1}{B_2}\ne\frac{C_1}{C_2}\)
Вопрос 30
Чему равен угловой коэффициент прямой, заданной уравнением
Вопрос 31
Вектор, который параллелен прямой, называется…
Варианты ответов
- ортогональным вектором данной прямой.
- направляющим вектором данной прямой.
- нормирующим вектором данной прямой.
Вопрос 32
Как называется множитель \(\mu=\frac{\pm1}{A^2+B^2}\)
Варианты ответов
- Канонический множитель
- Показательный множитель
- Нормирующий множитель
Вопрос 33
Выберите каноническое уравнение прямой на плоскости.
Варианты ответов
- Ax+By+C=0
- y=kx+b
-
\(\frac{x-x_0}{p_1}=\frac{y-y_0}{p_2}\)
-
\(\frac{x}{N}+\frac{y}{M}=1\)
Вопрос 34
Составить уравнение прямой по точке М(1; 2) и направляющему вектору p={-2;-1} .
Ответ записать в виде общего уравнения.
Вопрос 35
Линия на плоскости, определяемая уравнением второй степени относительно текущих декартовых координат х и у, называется…
Вопрос 36
Какой вид имеет общее уравнение линии второго порядка?

Варианты ответов
- Ax+By+C=0
-
\(Ax^2+By^2+C=0\)
-
\(Ax^2+Bxy+Cy^2+Dx+Ey+F=0\)
Вопрос 37
Выберите представителей множества кривых второго порядка.
Варианты ответов
- гиперболоид
- гипербола
- эллипсоид
- парабола
- круг
- эллипс
- окружность
Вопрос 38
Геометрическое место точек плоскости, находящихся на одинаковом расстоянии от заданной точки - центра, называется...
Варианты ответов
- окружностью
- эллипсом
- сферой
- кругом
- гиперболой
- шаром
Вопрос 39
Как называется геометрическое место точек плоскости, для которых сумма расстояний до двух фиксированных точек этой плоскости, называемых фокусами, есть величина постоянная, большая, чем расстояние между фокусами?
Вопрос 40
Какое из понятий не имеет отношения к эллипсу?
Варианты ответов
- Расстояние от точки до фокуса
- Асимптоты
- Малая полуось
- Большая полуось
Вопрос 41
Установите соответствие между кривыми второго порядка и их уравнениями.
1.
Окружность
2.
Эллипс
3.
Гипербола
4.
Парабола
Варианты ответов
-
\(\frac{x^2}{a^2}+\frac{y^2}{b^2}=1\)
-
\(\frac{x^2}{a^2}-\frac{y^2}{b^2}=1\)
-
\(y^2=2px\)
-
\(\left(x-a\right)^2+\left(y-b\right)^2=r^2\)
Вопрос 42
График какой кривой второго порядка не изображен на рисунке?

Вопрос 43
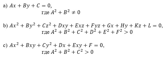
Поверхности второго порядка – это такие поверхности в пространстве, к котором введена прямоугольная декартова система координат, для которых уравнение поверхности имеет вид:

Вопрос 44
Выберите поверхности второго порядка
Варианты ответов
- сфера
- гипербола
- эллипсоид
- парабола
- эллипс
- гиперболоид
- конус
Вопрос 45
Какие фигуры не могут получиться в сечении эллипсоида?
Варианты ответов
- гипербола
- парабола
- эллипс
Вопрос 46
Определите по уравнению тип поверхности второго порядка

Вопрос 47
Какая поверхность получится, если гиперболу вращать вокруг оси ОY?

Варианты ответов
- Гиперболический параболоид
- Однополосный гиперболоид
- Гиперболический цилиндр
Вопрос 48

Варианты ответов
- 1
- 2
- 3
- 4
- нет верного ответа
Вопрос 49

Варианты ответов
- 1
- 2
- 3
- 4
- нет верного решения
Вопрос 50

Варианты ответов
- 1
- 2
- 3


