Деление рациональных чисел
Яковлева Анна Викторовна
07.04.2020.
Тест. Математика, 6 класс
Тест для самостоятельной работы учащихся по теме: Деление рациональных чисел
Система оценки:
5* балльная
Список вопросов теста
Вопрос 1
Решите уравнение -1,6х = 0,96
Варианты ответов
- 0,6
- -0,06
- -0,6
Вопрос 2
Найдите значение выражения
Варианты ответов
- 22/45
- -22/45
- 45/22
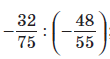
Вопрос 3
Найти значение выражения
Варианты ответов
- 2/9
- -4,5
- -2/9
Вопрос 4
Решите уравнение
Варианты ответов
- -2/3
- -3/2
- -2
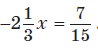
Вопрос 5
Решить уравнение
Варианты ответов
- 0,2
- -0,3
- -0,2
Получите комплекты видеоуроков + онлайн версии
Пройти тест
Сохранить у себя:
Тесты по математике 6 класс
0
447
Нравится
0


