Деление рациональных чисел
Список вопросов теста
Вопрос 1
Выберите верные утверждения:
Варианты ответов
- Частное двух чисел с разными знаками - это положительное число.
- Чтобы разделить отрицательное число на отрицательное, нужно модуль делимого разделить на модуль делителя.
- Частное двух отрицательных чисел - это отрицательное число.
- Чтобы разделить числа с разными знаками, нужно модуль делимого разделить на модуль делителя и перед полученным числом поставить знак «минус».
- Если делимое равно 0, а делитель - любое число, отличное от 0, то частное равно 0.
Вопрос 2
Вычислите: 6,4 : (-0,8).
Варианты ответов
- 1
- -8
- 6,4
- -0,8
- 0
Вопрос 3
Вычислите (-0,7) : (-0,035).
Варианты ответов
- -4
- 50
- -0,05
- 20
- 0,7
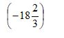
Вопрос 4
Варианты ответов
-
-
1
-
-
420
-
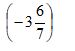
Вопрос 5
В ответ запишите только число. Например: 70. Если число отрицательное, то необходимо поставить перед числом минус не отделяя пробелами. Например: -70
Вопрос 6
Найдите число противоположное частному чисел 0,48 и -1,2.
В ответ запишите только число, при необходимости отделяя целую часть от дробной запятой. Например: 0,7. Если число отрицательное, то необходимо поставить перед числом минус не отделяя пробелами. Например: -0,7
Вопрос 7
Известно, что а < 0, b < 0. Верно ли, что:
Варианты ответов
- a : b > 0
- a : (-b) < 0
- (-a) : (-b) > 0
- (-a) : b > 0
Вопрос 8
Решите уравнение: х · 0,6 = -36,06.
Варианты ответов
- -60,1
- 0,6
- -0,06
- 6
- -36
Вопрос 9
В ответ запишите только число. Например: 70. Если число отрицательное, то необходимо поставить перед числом минус не отделяя пробелами. Например: -70
Вопрос 10
В театре 28 рядов по 32 места в каждом. Все места пронумерованы, начиная с первого ряда. В каком ряду находится место № 675? В ответ запишите только число. Например: 50


