Деление дробей
Список вопросов теста
Вопрос 1
Дополните высказывание:
"Чтобы разделить одну дробь на другую, нужно ...".
Варианты ответов
- первую дробь умножить на дробь, обратную второй.
- первую дробь умножить на вторую дробь.
- первую дробь разделить на дробь, обратную второй.
- первую дробь разделить на вторую.
Вопрос 2
Найдите частное дробей:
\(\frac{6x^2}{y}:\frac{2x^3}{y^3}\)
Варианты ответов
-
\(\frac{3y^2}{x}\)
-
\(\frac{6x^2-2x^3}{y-y^3}\)
-
\(\frac{2x^2\left(3-x\right)}{y^4}\)
-
\(\frac{4x}{y^2}\)
-
\(\frac{8x^5}{y^4}\)
Вопрос 3
Найдите частное дробей.

Варианты ответов
- 1
- 2
- 3
- 4
- 5
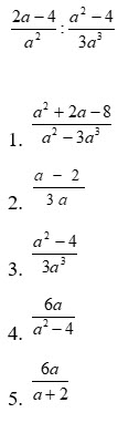
Вопрос 4
Найдите частное дробей.

Варианты ответов
- 1
- 2
- 3
- 4
- 5
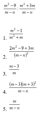
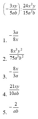
Вопрос 5
Выполните деление.

Варианты ответов
- 1
- 2
- 3
- 4
- 5
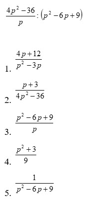
Вопрос 6
Выполните деление.

Варианты ответов
- 1
- 2
- 3
- 4
- 5
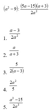
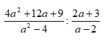
Вопрос 7
Упростите выражение.

Варианты ответов
- 1
- 2
- 3
- 4
- 5
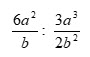
Вопрос 8
Упростите выражение.

Варианты ответов
- 1
- 2
- 3
- 4
- 5
Вопрос 9
Найдите значение выражения при a = 8. Ответ укажите в виде десятичной дроби. В ответ запишите только число, например 5. Если в ответе получится десятичная дробь, то отделите целую часть от дробной запятой. Например: 0,3

Вопрос 10
Найдите значение произведения, если a = 2, b = 1. В ответ запишите только число, например 5. Если в ответе получится десятичная дробь, то отделите целую часть от дробной запятой. Например: 0,3




Яна, благодарим Вас за ценное замечание. Тест исправлен. Если у Вас возникнут вопросы, напишите, пожалуйста, в нашу службу техподдержки: [email protected]
Здравствуйте, Яна. Благодарим Вас за замечание. Мы обязательно проверим.
Во 2 вопросе ошибка в ответах, правильного ответа нет.