Деление
Список вопросов теста
Вопрос 1
Выберите верные утверждения.
Варианты ответов
- При делении смешанных чисел надо представить числа в виде неправильных дробей, а потом разделить их друг на друга по правилу деления дробей.
- При делении смешанных чисел надо отдельно разделить целые части и отдельно дробные части и записать результат смешанным числом.
- Чтобы разделить одну дробь на другую, надо делимое (первую дробь) умножить на обратную дробь делителю.
- Чтобы разделить дробь на натуральное число, можно: натуральное число представить в виде неправильной дроби с числителем, равным самому числу и знаменателем равным единице. Затем произвести деление по правилу деления дроби на дробь.
- Чтобы разделить одну дробь на другую, надо делимое умножить на делитель.
Вопрос 2
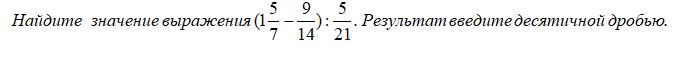
Найдите значение выражения
Варианты ответов
Вопрос 3
Найдите значение выражения \(2\frac{3}{4}:1\frac{1}{3}\).
Варианты ответов
-
-
-
-
3
-
Вопрос 4
Найдите значение выражения \(\frac{11}{13}:121\).
Варианты ответов
-
-
-
-
-
11
Вопрос 5
Найдите значение выражения \(1,2:\frac{3}{5}\).
Варианты ответов
-
-
2
-
0,8
-
\(1\frac{1}{5}\)
-
\(\frac{3}{4}\)
Вопрос 6
Найдите корень уравнения \(1\frac{2}{17}:x=\frac{3}{17}\).
Варианты ответов
-
-
1
-
-
-
Вопрос 7
В ответ запишите только число, при необходимости отделяя целую часть от дробной запятой. Например: 0,7
Вопрос 8
Найдите значение выражения \(\left(\frac{11}{15}+2\frac{3}{5}\right):3\frac{1}{3}\).
Варианты ответов
-
-
1
-
-
\(\frac{7}{10}\)
-
\(1\frac{14}{15}\)
Вопрос 9
Найдите значение частного \(3\frac{1}{5}:1\frac{1}{7}\).
Варианты ответов
- 2,8
- 1
- 0
-
\(\frac{8}{7}\)
-
\(\frac{16}{5}\)
Вопрос 10
Найдите значение выражения \(\frac{2}{5}:\frac{3}{5}\).
Варианты ответов
- 0
- 1
-
\(\frac{2}{3}\)
-
\(\frac{2}{5}\)
-
\(\frac{5}{3}\)


