Действия над матрицами
Носова Оксана Васильевна
04.11.2020.
Тест. Математика, Прочее
Тест по математике по теме "Действия над матрицами"
Система оценки:
5* балльная
Список вопросов теста
Вопрос 1
Выберите верное определение суммы двух матриц.


Варианты ответов
- А
- Б
- В
Вопрос 2
Даны четыре матрицы А, В, С, D.

Какие из перечисленных действий можно выполнить?

Варианты ответов
- А + С
- В – D
- 3C
- А + D
Вопрос 3
Дана матрица 
Выполните умножение матрицы А на 2.
Выберите верный вариант ответа.


Варианты ответов
- А
- Б
- В
Вопрос 4
Можно ли выполнить умножение матриц А и В, если


Варианты ответов
- Да
- Нет
Вопрос 5
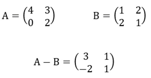
Верно ли найдена разность матриц А – В?


Варианты ответов
- Да
- Нет
Вопрос 6
Выберите верно выполненное произведение матриц АВ.


Варианты ответов
- А
- Б
- В
Вопрос 7
Выберите верное утверждение.

Варианты ответов
- Умножение матрицы A на матрицу В определено, только когда обе матрицы одинакового размера.
- Умножение матрицы A на матрицу В определено, когда число строк первой матрицы равно числу строк второй.
- Умножение матрицы A на матрицу В определено, когда число столбцов первой матрицы равно числу строк второй.
Получите комплекты видеоуроков + онлайн версии
Пройти тест
Сохранить у себя:
Тесты по математике Прочее
0
2519
Нравится
0


