ДӘРІЛІК ЗАТТАРДЫ АЛУДЫҢ ӨНДІРІСТІК ӘДІСТЕРІ 3 нұсқа
Список вопросов теста
Вопрос 1
Төменде берілген рационалды атау және химиялық формула дәрілік препаратқа ... сәйкес келеді.
Варианты ответов
- фторотан
- хлороформ
- хлоралгидрат
- хлорэтил
- йодоформ
Вопрос 2
Йодоформ ... құрал ретінде қолданылады.
Варианты ответов
- ингаляциялық
- антисептикалық
- витаминді
- кардиотоникалық
- косметикалық
Вопрос 3
Этил спиртінің йодпен сілтілі ортада өзара әрекеттесуі кезінде төменде келтірілген реакция бойынша ... түзіледі .

Варианты ответов
- жағымсыз иісі бар сары тұнба
- ақ опалесценция
- қара түсті шөгінділер, газ көпіршіктері
- ақ түсті аморфты тұнба
- көк түсті шөгу
Вопрос 4
Төменде келтірілген химиялық құрылым дәрілік препаратқа ... сәйкес келеді .
Варианты ответов
- хлороформ
- хлорлы этил
- гексаметилентетрамин
- хлоралгидрат
- формальдегид
Вопрос 5
Бициклді терпеноидтарға дәрілік препарат ... жатады .
Варианты ответов
- сульфокамфокаин
- терпингидрат
- ментол
- валидол
- ретинол ацетаты
Вопрос 6
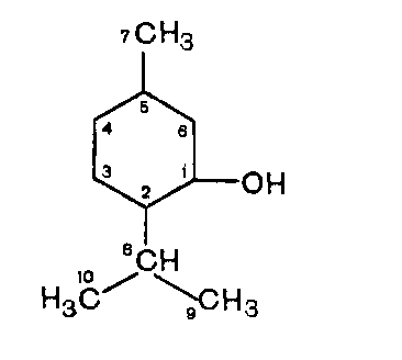
Ментолдың ұтымды атауына ... сәйкес келеді .
Варианты ответов
- 3-изопропил-5-метилциклогексанол-1
- п-ментандиол-1,8
- п-2-изопропил-5-метилгексан
- L-2-изопропил-5-метилциклогексанол-1
- 5-метилциклогексанол-1
Вопрос 7
Сипаттамасы "камфораның әлсіз иісі бар мөлдір, түссіз сұйықтық" сәйкес келеді ... .
Варианты ответов
- ментолу
- ретинол ацетат
- терпингидратқа
- сульфокамфорлы қышқыл
- камфоре
Вопрос 8
Төменде келтірілген химиялық формула сәйкес келеді ... .
Варианты ответов
- ментолу
- терпингидрату
- мидантану
- камфоре
- валидолу
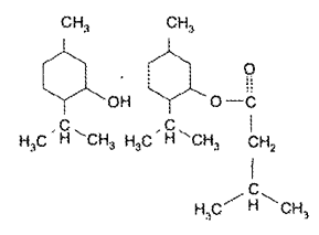
Вопрос 9
Төменде келтірілген химиялық формула сәйкес келеді ... .
Варианты ответов
- ментолу
- сульфокамфокаин
- сульфокамфорлы қышқыл
- терпингидратқа
- валидолу
Вопрос 10
Төменде келтірілген химиялық формула сәйкес келеді ... .
Варианты ответов
- ментолу
- сульфокамфокаин
- сульфокамфорлы қышқыл
- терпингидратқа
- валидолу
Вопрос 11
Бромкафора туындыға жатады ... .
Варианты ответов
- бициклді терпеноидтар
- моноциклді дитерпеноидтар
- пентациклді тритерпеноидтар
- бициклді тетратерпеноидтар
- трициклді сесквитерепеноидтар
Вопрос 12
Ментол туындыға жатады ... .
Варианты ответов
- бициклді тетратерпеноидтар
- бициклді терпеноидтар
- пентациклді тритерпеноидтар
- моноциклді терпеноидтар
- трициклді сесквитерпеноидтар
Вопрос 13
Сульфацил-натрий сульфаниламидтердің басқа туындыларынан ... ерекшеленеді .
Варианты ответов
- Рейнеке тұздарының түзілу реакциялары
- оптикалық белсенділік
- таллейохин түзілу реакциялары
- мурексид түзілу реакциялары
- су ерітіндісінің рН мәні
Вопрос 14
"Сірке қышқылының салицил эфирі" рационалды атауы сәйкес келеді …
Варианты ответов
- ацетилсалицил қышқылы
- натрий бензоаты
- резорцинге
- метилсалицилат
- бензин қышқылы
Вопрос 15
Салицил қышқылының күрделі эфирлеріне жатады …
Варианты ответов
- натрий салицилаты
- натрий бензоаты
- оксафенамид
- салициламид
- ацетилсалицил қышқылы
Вопрос 16
Төменде келтірілген химиялық формула дәрілік препаратқа ... сәйкес келеді . 

Варианты ответов
- ацетилсалицил қышқылы
- бензой қышқылы
- метилсалицилат
- салициламид
- оксафенамид
Вопрос 17
Субстанцияны синтездеу үшін бастапқы өнім ретінде гидрирленетін тимол қолданылған, нәтижесінде бұрыш жалбыз иісінің күшті иісі және салқын дәмі бар түссіз кристалдар алады. Алынған субстанция өте аз суда ериді, спиртте өте оңай.
Осы әдістеме бойынша қандай препарат синтезделеді?
Варианты ответов
- ментол
- карвалол
- валидол
- жалбыз майы
- терпингидрат
Вопрос 18
Өндірістік жағдайларда табиғи пиролюзит минералынан калий перманганаты синтезі жүргізілді, ол ауада сілтімен қызады, алынған ерітіндіні қайнатады және көміртегінің қос тотығымен өңдейді.Медициналық тәжірибеде калий перманганат антисептикалық құрал ретінде қолданылады.
Бұл жағдайда пиролюзиттен калий перманганатын алудың қандай әдісі қолданылады?
Варианты ответов
- тотығу
- қалпына келтіру
- диазотирлеу
- галогендеу
- сульфирование
Вопрос 19
Қолдануға дайын белгілі бір дәрілік нысандағы мөлшерленген дәрілік зат ... .
Варианты ответов
- бояғыш зат
- көмекші зат
- дәрілік субстанция
- дәрі-дәрмек
- қосымша зат
Вопрос 20
Субстанцияның өнеркәсіптік өндірісі 2-изопропил-5-метилциклогексанолмен-1 изовалериан қышқылын этерификациялау реакциясына негізделген. Алынған өнім-бұл ментол иісі бар мөлдір майлы түссіз сұйықтық. Спиртте еру өте оңай. Іс жүзінде нерастворим суда. Орталық жүйке жүйесіне тыныштандыратын әсер етеді, сондай-ақ қалыпты рефлекторлық тамыр кеңейткіш әсері бар.
Осы әдістеме бойынша қандай препарат синтезделеді?
Варианты ответов
- терпингидрат
- жалбыз майы
- валидол
- карвалол
- ментол


