Числовые ряды. Признаки сходимости.
Список вопросов теста
Вопрос 1
Каким признаком сходимости следует воспользоваться для исследования на сходимость следующего ряда:

Варианты ответов
- признак Коши
- признак Даламбера
- признак сравнения в предельной форме
- признак Лейбница
Вопрос 2
Каким признаком сходимости следует воспользоваться для исследования на сходимость следующего ряда:

Варианты ответов
- признак Коши
- признак Даламбера
- признак сравнения в предельной форме
- признак Лейбница
Вопрос 3
Каким признаком сходимости следует воспользоваться для исследования на сходимость следующего ряда:

Варианты ответов
- признак Коши
- признак Даламбера
- признак сравнения в предельной форме
- признак Лейбница
Вопрос 4
Каким признаком сходимости следует воспользоваться для исследования на сходимость следующего ряда:

Варианты ответов
- признак Коши
- признак Даламбера
- признак сравнения в предельной форме
- признак Лейбница
Вопрос 5
- Числовой ряд сходится, если предел его частичных сумм…
Варианты ответов
- конечен
- бесконечен
- не существует
Вопрос 6
Верно ли что это обобщённо-гармонический ряд?
Варианты ответов
- да
- нет
Вопрос 7
Верно ли что это обобщённо-гармонический ряд?
Варианты ответов
- да
- нет
Вопрос 8
Верно ли что это геометрический ряд?
Варианты ответов
- Да или нет
Вопрос 9
Верно ли что это геометрический ряд?
Варианты ответов
- Да или нет
Вопрос 10
Выберите букву верного ответа

Варианты ответов
- А
- Б
- В
- Г
Вопрос 11
Выберите букву верного ответа

Варианты ответов
- А
- Б
- В
- Г
Вопрос 12
Продолжите необходимое условие сходимости ряда
Если предел n-го члена рядя равен нулю, то.................
Варианты ответов
- необходимое условие сходимости выполнено
- необходимое условие сходимости не выполнено
Вопрос 13
С каким рядом следует сравнить данный ряд при использовании признака сравнения в предельной форме

Варианты ответов
- 1
- 2
- 3
Вопрос 14
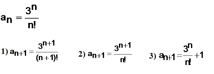
Дан энный член ряда, необходимо найти n+1 член ряда

Варианты ответов
- 1
- 2
- 3
Вопрос 15
Выберети верное продолжение

Варианты ответов
- D > 1 - сходится, D < 1 - расходится
- D < 1 - сходится, D > 1 - расходится
Вопрос 16
Выберети верное продолжение

Варианты ответов
- K > 1 - сходится, K < 1 - расходится
- K < 1 - сходится, K > 1 - расходится


